Официальное опубликование правовых актов
ОФИЦИАЛЬНОЕ ОПУБЛИКОВАНИЕ
Постановление Правительства Севастополя от 29.12.2025 № 677-ПП
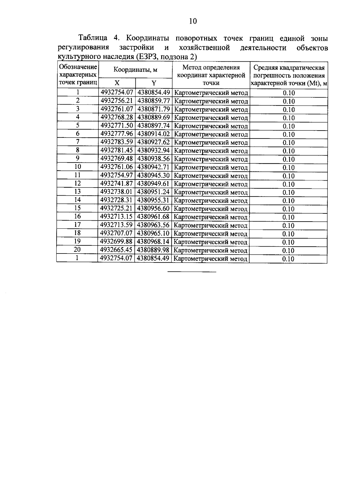
"Об утверждении границ объединенной зоны охраны, требований к ограничениям использования земельных участков, водных объектов и их частей и требований к градостроительным регламентам в границах объединенной зоны охраны объектов культурного наследия регионального значения: "Жилой дом", 1950–1954 гг. (г. Севастополь, ул. Генерала Петрова, 3), "Жилой дом", 1950–1954 гг. (г. Севастополь, ул. Генерала Петрова, 14), "Жилой дом", 1950–1954 гг. (г. Севастополь, ул. Новороссийская, 10), "Жилой дом", 1950–1954 гг. (г. Севастополь, ул. Новороссийская, 14), "Жилой дом", 1950–1954 гг. (г. Севастополь, ул. Новороссийская, 16), "Жилой дом", 1950–1954 гг. (г. Севастополь, ул. Новороссийская, 18), "Жилой дом", 1950–1954 гг. (г. Севастополь, ул. Очаковцев, 2)"
Номер опубликования: 9200202601040019
Дата опубликования: 04.01.2026
Страница №13 из 25:
Увеличить