Официальное опубликование правовых актов
ОФИЦИАЛЬНОЕ ОПУБЛИКОВАНИЕ
Приказ Министерства промышленности и торговли Российской Федерации от 29.12.2025 № 6743
"Об утверждении типовых отраслевых норм времени на выполнение работ по строительству кораблей, судов и плавучих конструкций (единичное и мелкосерийное производство)"
(Зарегистрирован 16.01.2026 № 84949)
Номер опубликования: 0001202601160009
Дата опубликования: 16.01.2026
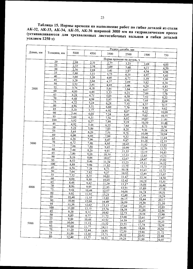
Страница №46 из 480:
Увеличить