Официальное опубликование правовых актов
ОФИЦИАЛЬНОЕ ОПУБЛИКОВАНИЕ
Приказ Агентства по охране культурного наследия Республики Дагестан от 14.08.2025 № 119/25-од
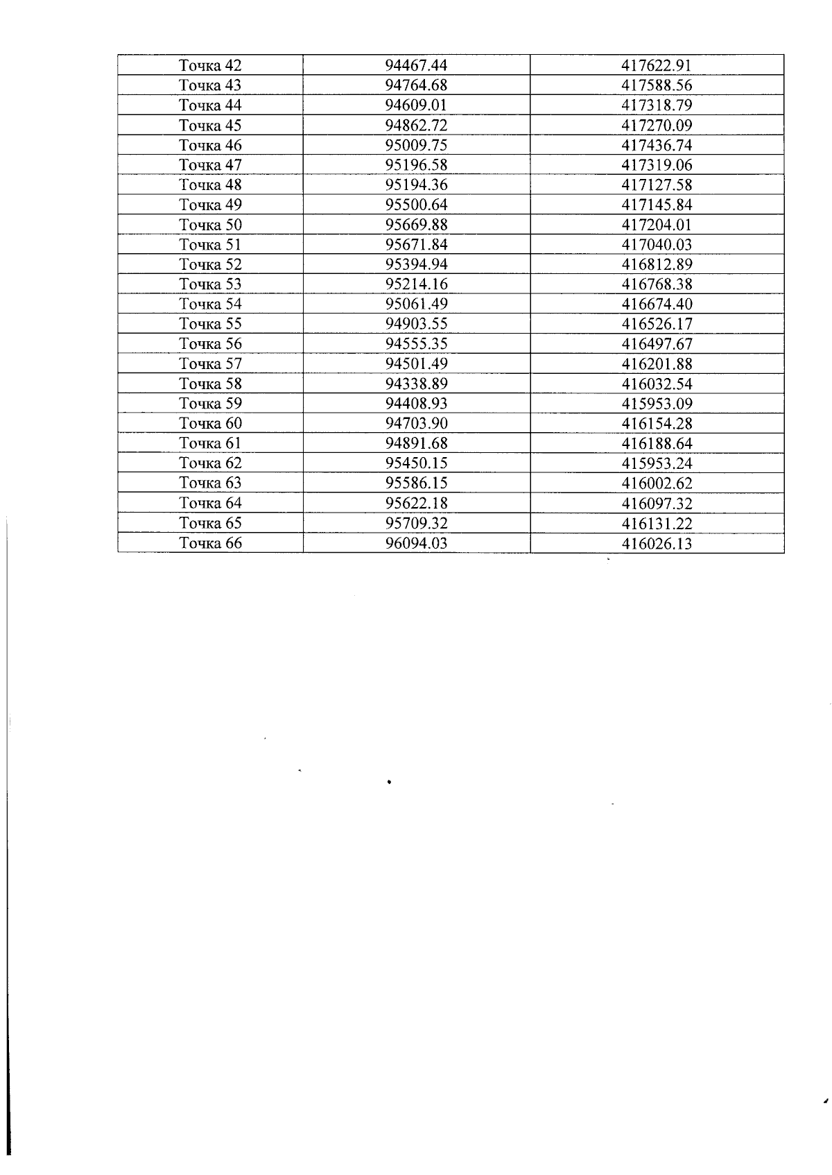
"Об утверждении границ территории объекта культурного наследия федерального значения "Паласасыртский раннесредневековый могильник" (Республика Дагестан, Дербентский район, между с. Хошмензиль и с. Новая Мака)"
(Зарегистрирован 27.08.2025 № 8223)
Номер опубликования: 0501202509020003
Дата опубликования: 02.09.2025
Страница №9 из 21:
Увеличить