Официальное опубликование правовых актов
ОФИЦИАЛЬНОЕ ОПУБЛИКОВАНИЕ
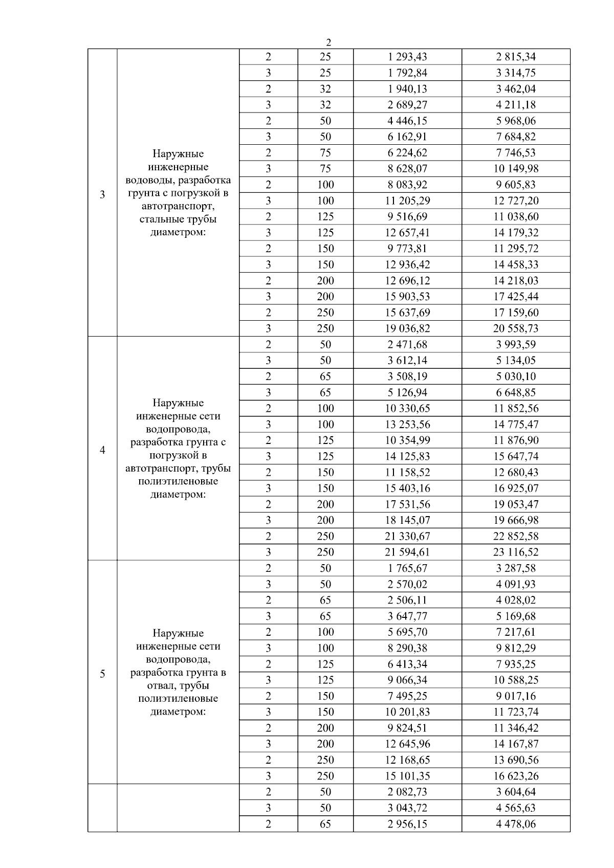
Постановление Государственного комитета по ценовой политике Республики Саха (Якутия) от 12.12.2025 № 215
"Об установлении ставок тарифов на подключение (технологическое присоединение) к централизованным системам холодного и горячего водоснабжения АО "Теплоэнергия" на 2026 год"
(Зарегистрирован 17.12.2025 № RU1401420222844)
Номер опубликования: 1401202512190008
Дата опубликования: 19.12.2025
Страница №5 из 8:
Увеличить