Официальное опубликование правовых актов
ОФИЦИАЛЬНОЕ ОПУБЛИКОВАНИЕ
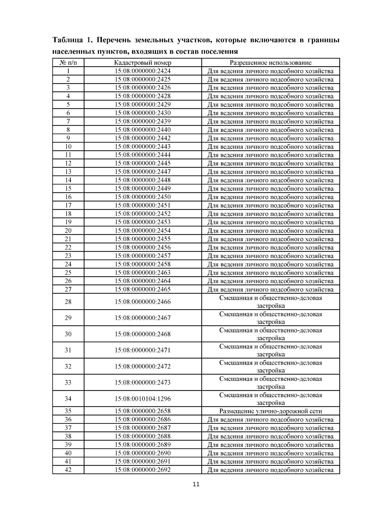
Приказ Министерства строительства и архитектуры Республики Северная Осетия-Алания от 10.02.2025 № 12
"Об утверждении генерального плана Ногирского сельского поселения Пригородного района Республики Северная Осетия-Алания"
(Зарегистрирован 10.02.2025 № 0037-25-1)
Номер опубликования: 1501202502120001
Дата опубликования: 12.02.2025
Страница №21 из 61:
Увеличить