Официальное опубликование правовых актов
ОФИЦИАЛЬНОЕ ОПУБЛИКОВАНИЕ
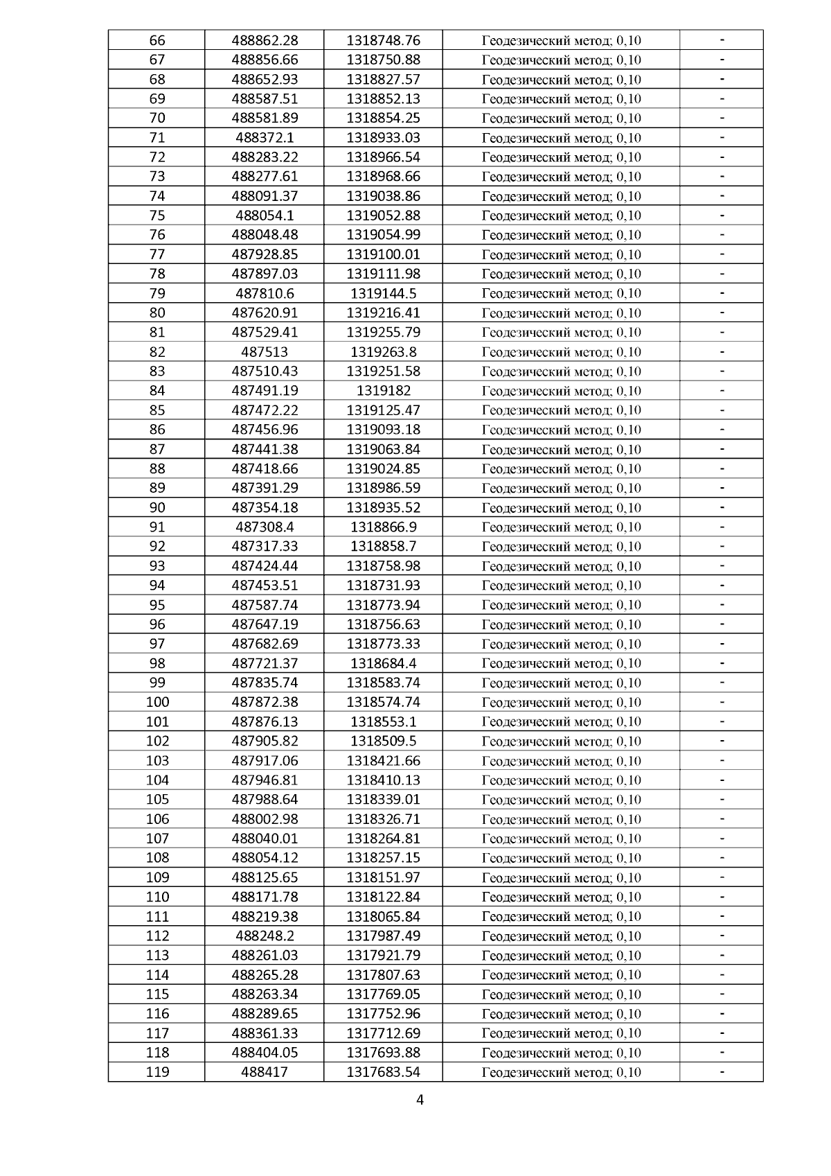
Приказ Министерства строительства и архитектуры Республики Северная Осетия-Алания от 09.12.2025 № 80
"Об утверждении генерального плана Эльхотовского сельского поселения Кировского муниципального района Республики Северная Осетия-Алания"
(Зарегистрирован 11.12.2025 № 0247-25-1)
Номер опубликования: 1501202512170013
Дата опубликования: 17.12.2025
Страница №161 из 170:
Увеличить