Официальное опубликование правовых актов
ОФИЦИАЛЬНОЕ ОПУБЛИКОВАНИЕ
Приказ Министерства строительства и архитектуры Республики Северная Осетия-Алания от 09.12.2025 № 84
"Об утверждении генерального плана Комсомольского сельского поселения Кировского муниципального района Республики Северная Осетия-Алания"
(Зарегистрирован 11.12.2025 № 0251-25-1)
Номер опубликования: 1501202512170016
Дата опубликования: 17.12.2025
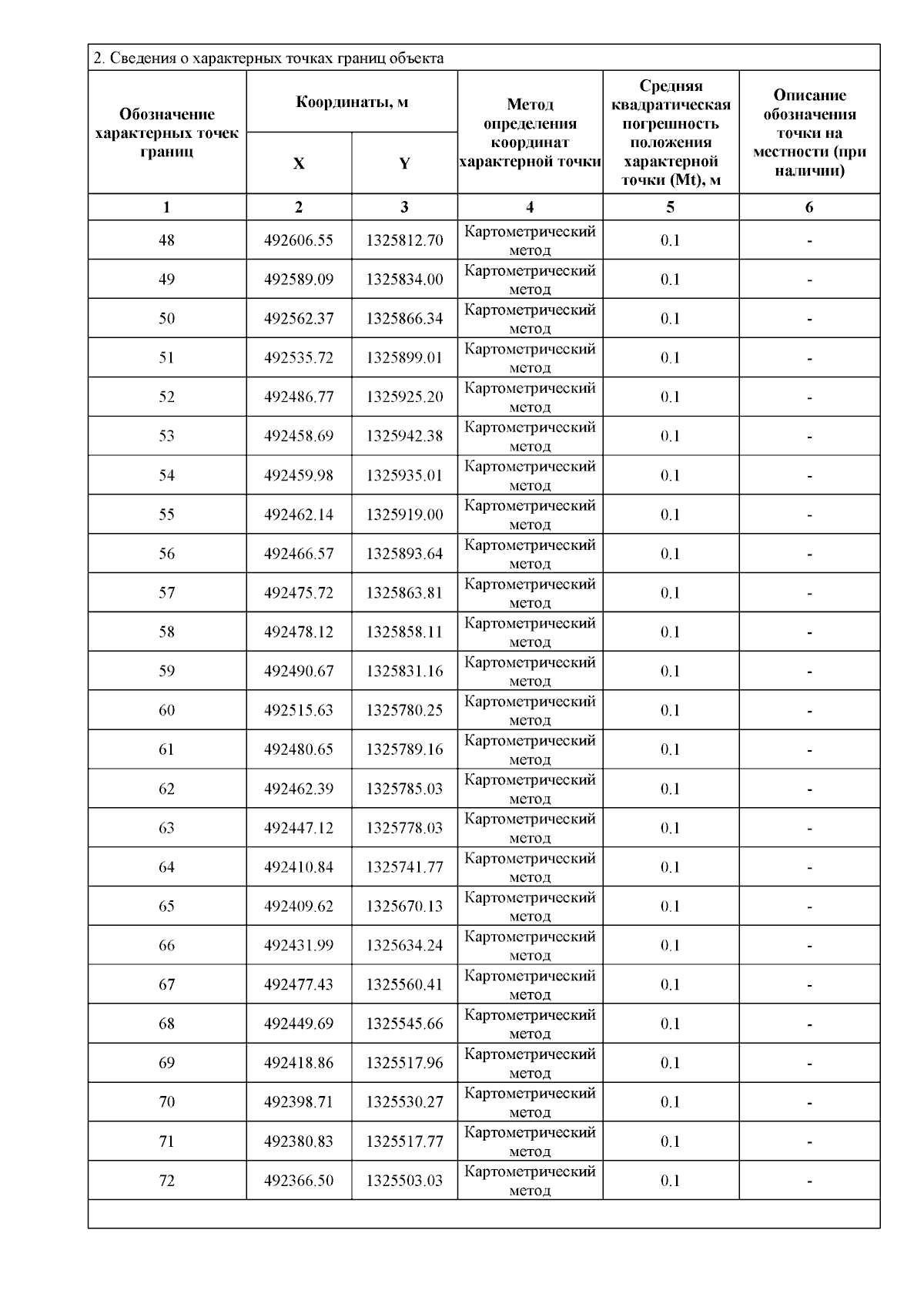
Страница №104 из 113:
Увеличить