Официальное опубликование правовых актов
ОФИЦИАЛЬНОЕ ОПУБЛИКОВАНИЕ
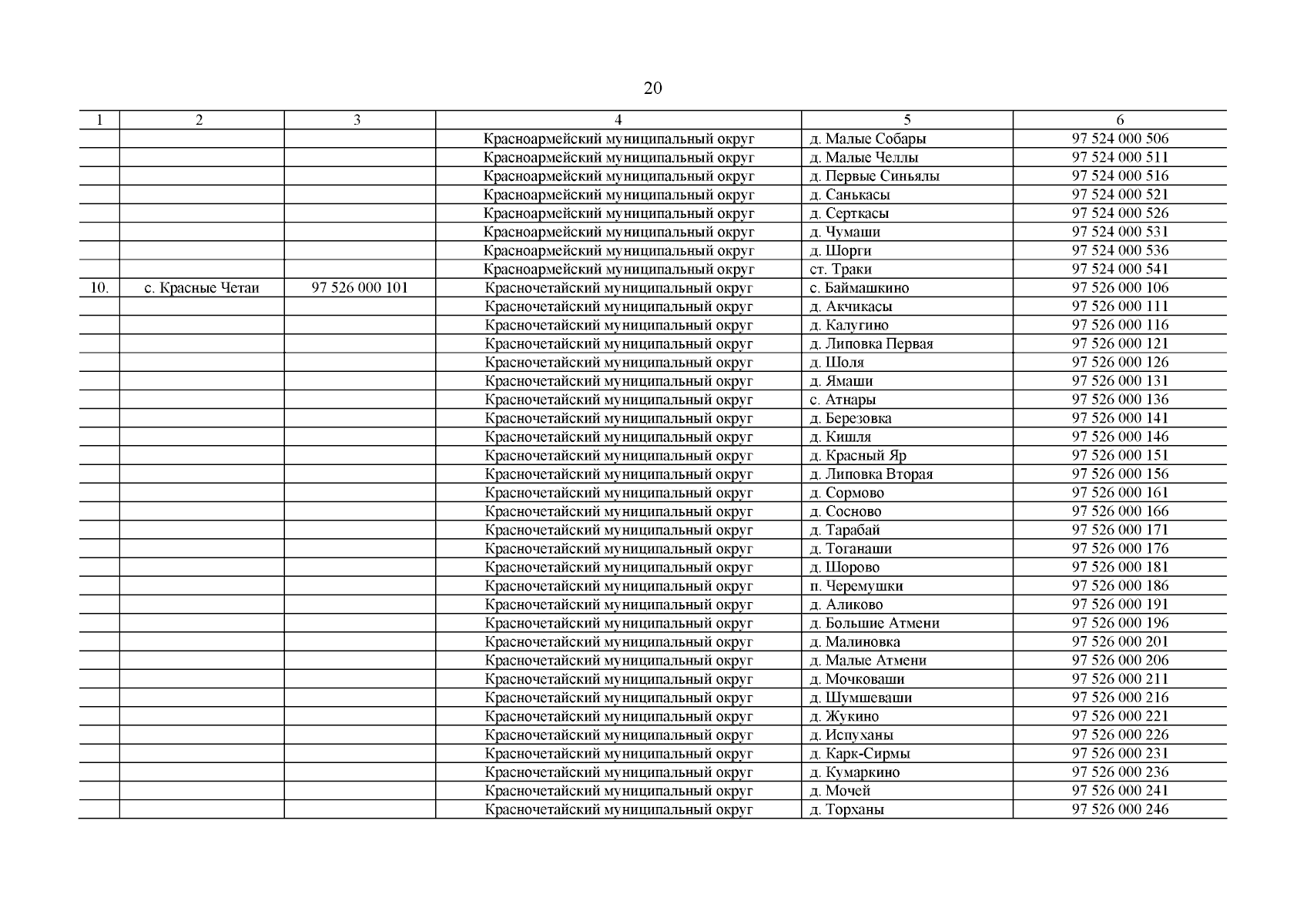
Постановление Кабинета Министров Чувашской Республики от 17.04.2026 № 212
"О внесении изменений в постановление Кабинета Министров Чувашской Республики от 24 января 2023 г. № 18"
Номер опубликования: 2100202604170002
Дата опубликования: 17.04.2026
Страница №21 из 33:
Увеличить