Официальное опубликование правовых актов
ОФИЦИАЛЬНОЕ ОПУБЛИКОВАНИЕ
Постановление Кабинета Министров Чувашской Республики от 17.04.2026 № 212
"О внесении изменений в постановление Кабинета Министров Чувашской Республики от 24 января 2023 г. № 18"
Номер опубликования: 2100202604170002
Дата опубликования: 17.04.2026
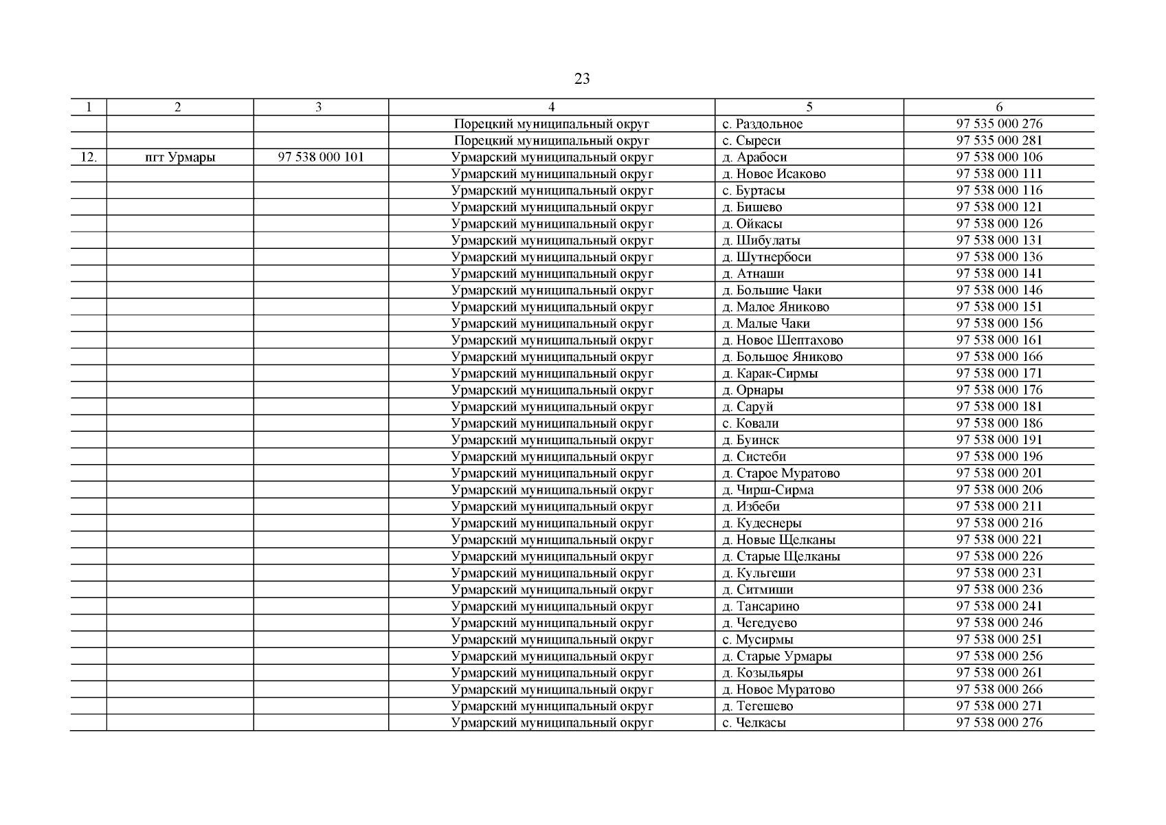
Страница №24 из 33:
Увеличить