Официальное опубликование правовых актов
ОФИЦИАЛЬНОЕ ОПУБЛИКОВАНИЕ
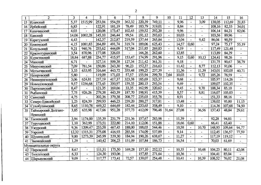
Постановление Правительства Красноярского края от 17.11.2020 № 784-п
"Об утверждении среднего уровня кадастровой стоимости земель населенных пунктов по муниципальным районам (муниципальным округам, городским округам) Красноярского края"
Номер опубликования: 2400202011230010
Дата опубликования: 23.11.2020
Страница №3 из 5:
Увеличить