Официальное опубликование правовых актов
ОФИЦИАЛЬНОЕ ОПУБЛИКОВАНИЕ
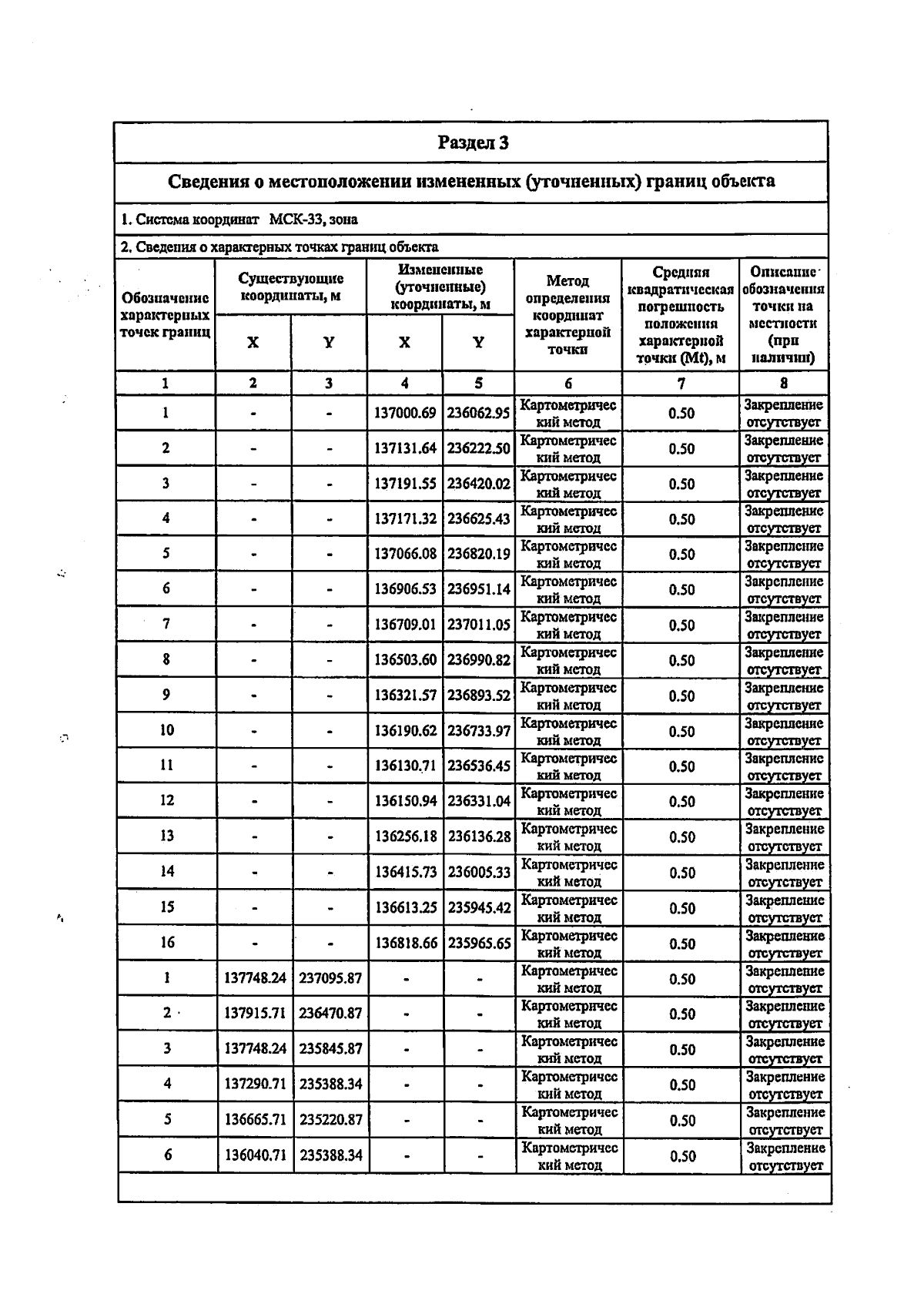
Приказ Министерства природопользования и экологии Владимирской области от 15.09.2025 № 45-н
"О внесении изменений в постановление Департамента природопользования от 25.07.2017 № 93/01-25"
(Зарегистрирован 15.09.2025 № МПЭ2025-045)
Номер опубликования: 3301202509160001
Дата опубликования: 16.09.2025
Страница №17 из 22:
Увеличить