Официальное опубликование правовых актов
ОФИЦИАЛЬНОЕ ОПУБЛИКОВАНИЕ
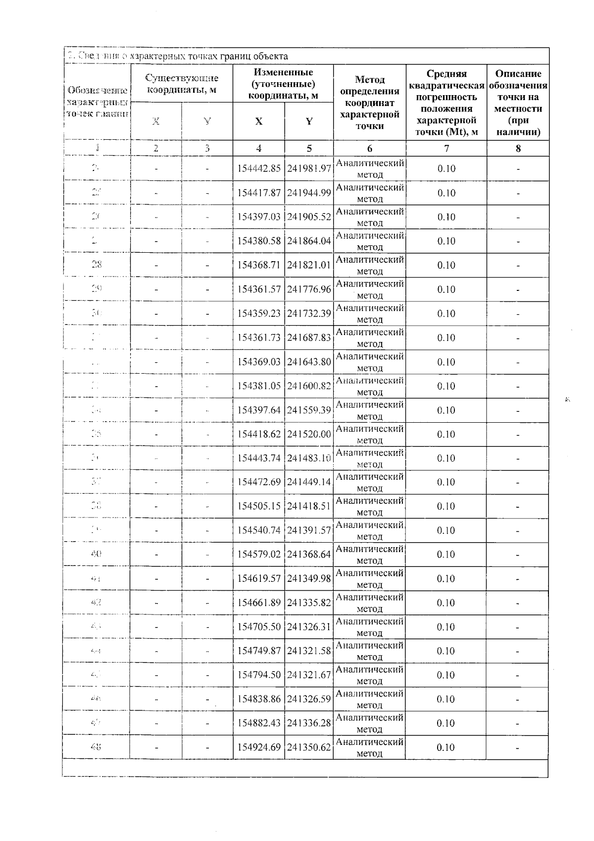
Приказ Министерства природопользования и экологии Владимирской области от 15.10.2025 № 59-н
"Об установлении зон санитарной охраны источников питьевого, хозяйственно-бытового водоснабжения МУП ЖКХ Гусь-Хрустальный район"
(Зарегистрирован 15.10.2025 № МПЭ2025-059)
Номер опубликования: 3301202510160002
Дата опубликования: 16.10.2025
Страница №63 из 67:
Увеличить