Официальное опубликование правовых актов
ОФИЦИАЛЬНОЕ ОПУБЛИКОВАНИЕ
Закон Воронежской области от 21.02.2025 № 22-ОЗ
"О внесении изменений в отдельные законодательные акты Воронежской области"
Номер опубликования: 3600202502260001
Дата опубликования: 26.02.2025
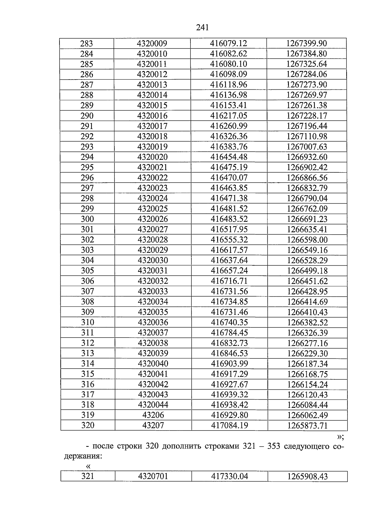
Страница №241 из 247:
Увеличить