Официальное опубликование правовых актов
ОФИЦИАЛЬНОЕ ОПУБЛИКОВАНИЕ
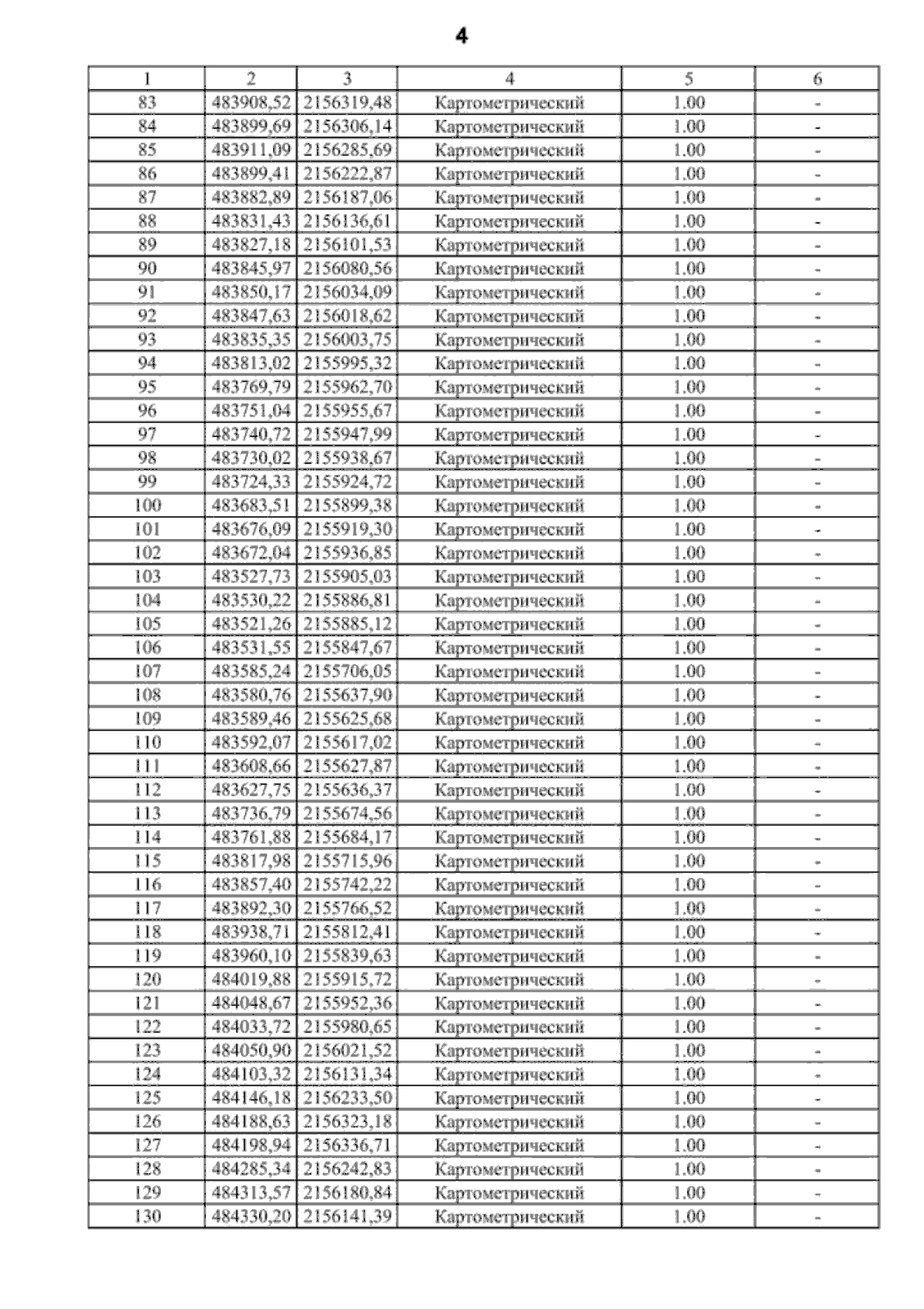
Приказ министерства архитектуры и градостроительства Воронежской области от 29.11.2024 № 45-01-04/568
"О внесении изменений в правила землепользования и застройки Нащёкинского сельского поселения Аннинского муниципального района Воронежской области"
(Зарегистрирован 12.12.2024 № 1629)
Номер опубликования: 3601202412160004
Дата опубликования: 16.12.2024
Страница №11 из 81:
Увеличить