Официальное опубликование правовых актов
ОФИЦИАЛЬНОЕ ОПУБЛИКОВАНИЕ
Приказ Министерства градостроительной политики Калининградской области от 26.12.2024 № 496
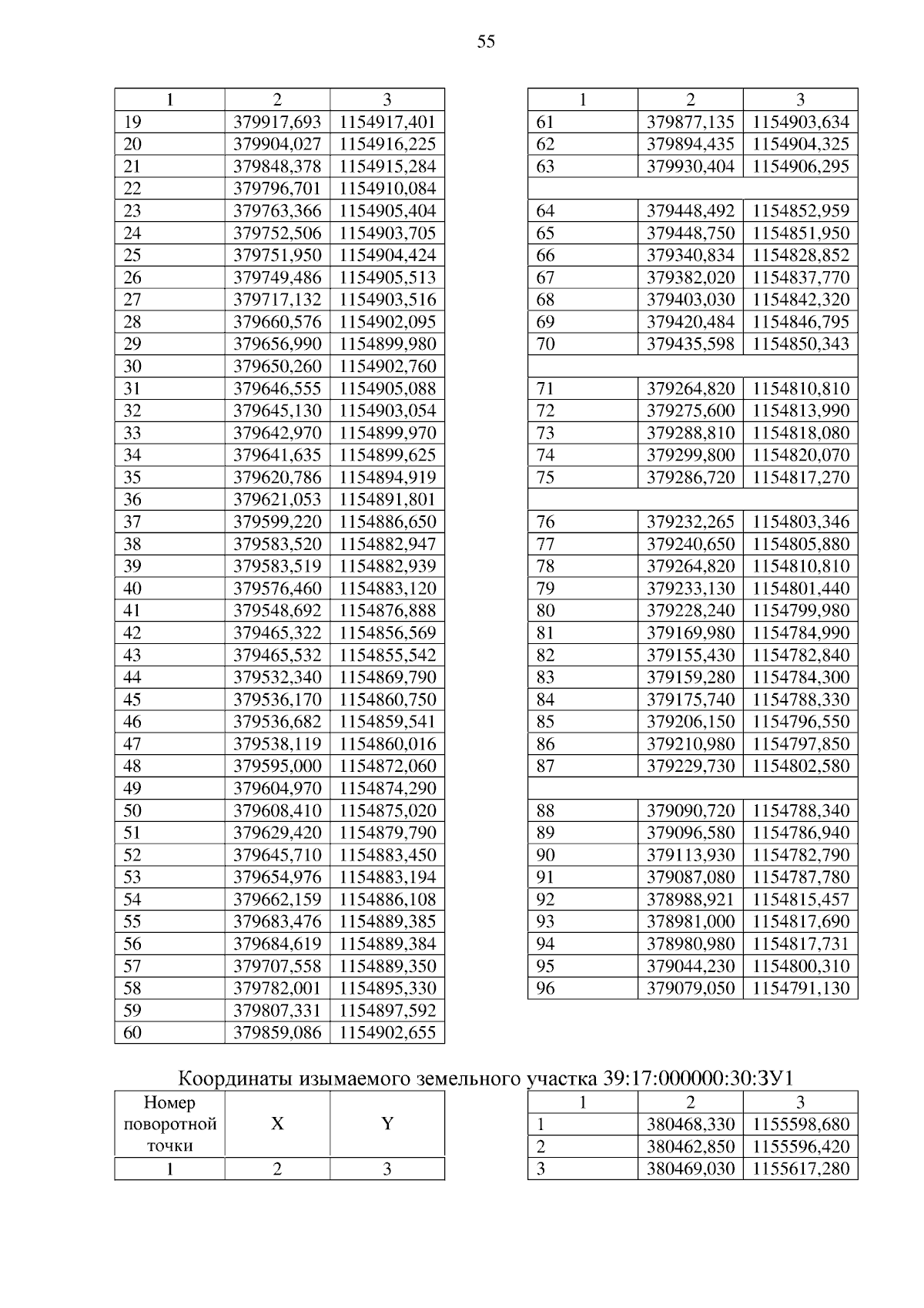
"Об утверждении проекта планировки территории с проектом межевания в его составе, предусматривающего размещение линейного объекта регионального значения "Реконструкция автомобильной дороги Донское — Синявино — Янтарный, км 0,00-7,60"
(Зарегистрирован 27.12.2024 № ГР/1204/2024)
Номер опубликования: 3901202412270008
Дата опубликования: 27.12.2024
Страница №57 из 91:
Увеличить