Официальное опубликование правовых актов
ОФИЦИАЛЬНОЕ ОПУБЛИКОВАНИЕ
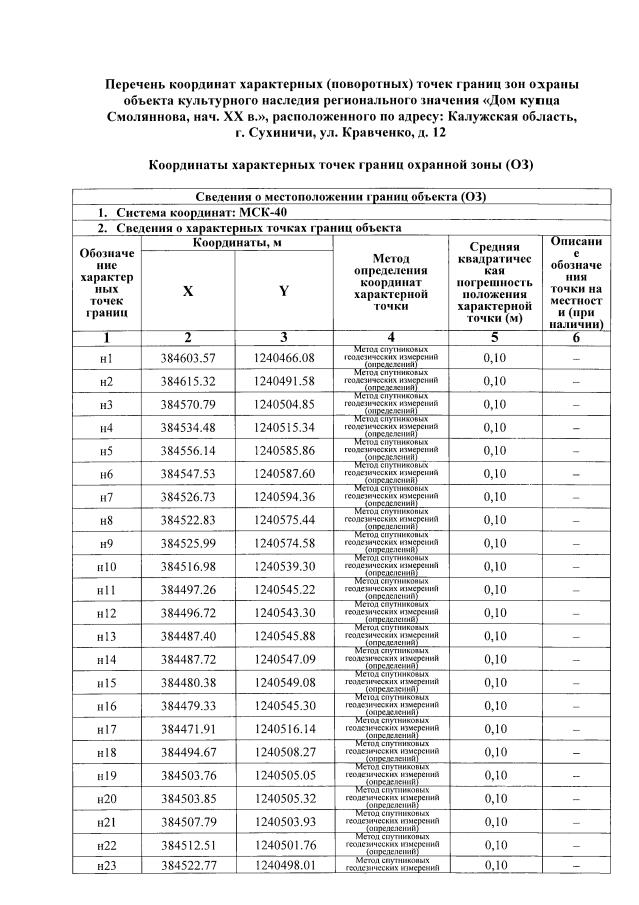
Приказ Управления по охране объектов культурного наследия Калужской области от 26.07.2022 № 106
"Об установлении зон охраны объекта культурного наследия регионального значения "Дом купца Смоляннова, нач. XX в.", расположенного по адресу: Калужская область, г. Сухиничи, ул. Кравченко, д. 12, и утверждении требований к градостроительным регламентам в границах территорий данных зон"
(Зарегистрирован 10.08.2022 № 12194)
Номер опубликования: 4001202208160002
Дата опубликования: 16.08.2022
Страница №8 из 19:
Увеличить