Официальное опубликование правовых актов
ОФИЦИАЛЬНОЕ ОПУБЛИКОВАНИЕ
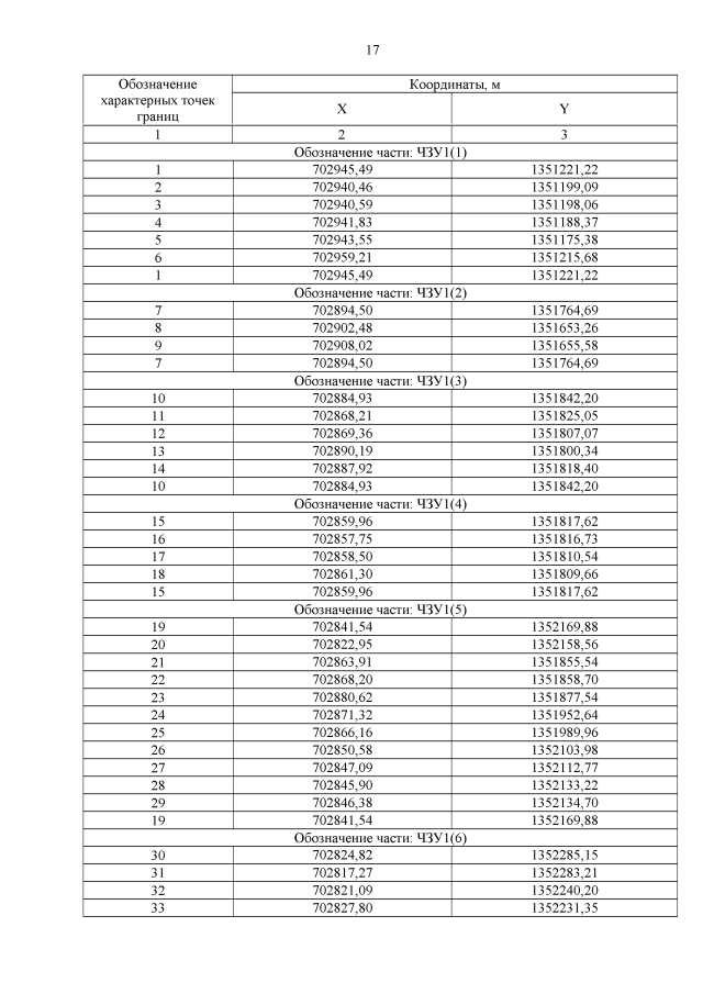
Постановление Правительства Кемеровской области - Кузбасса от 30.09.2021 № 597
"Об изменении площадей и границ земель, на которых расположены леса, указанные в пункте 3 части 1 статьи 114 Лесного кодекса Российской Федерации, Яйского лесничества Кемеровской области"
Номер опубликования: 4200202110050001
Дата опубликования: 05.10.2021
Страница №17 из 28:
Увеличить