Официальное опубликование правовых актов
ОФИЦИАЛЬНОЕ ОПУБЛИКОВАНИЕ
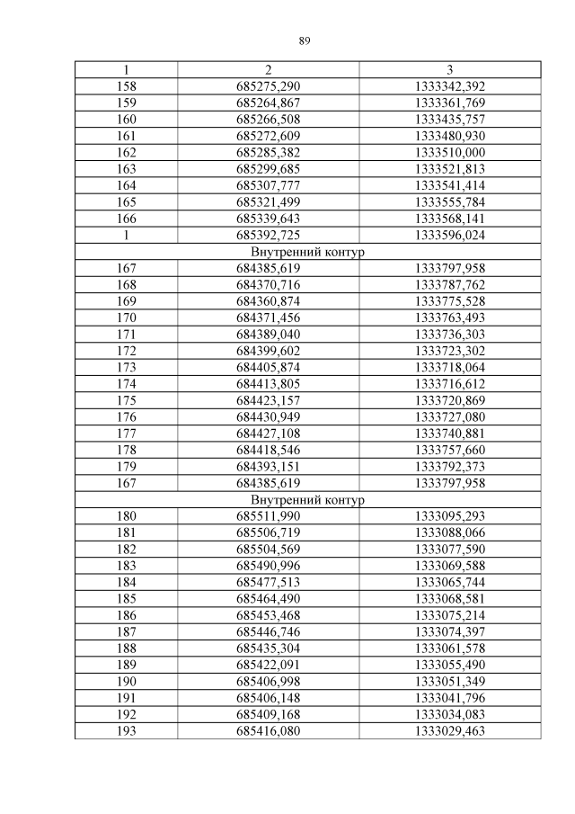
Постановление Правительства Кемеровской области - Кузбасса от 15.09.2022 № 626
"Об изменении площадей и границ земель, на которых расположены леса, указанные в пункте 3 части 1 статьи 114 Лесного кодекса Российской Федерации, Яшкинского лесничества Кемеровской области - Кузбасса"
Номер опубликования: 4200202209200004
Дата опубликования: 20.09.2022
Страница №89 из 106:
Увеличить