Официальное опубликование правовых актов
ОФИЦИАЛЬНОЕ ОПУБЛИКОВАНИЕ
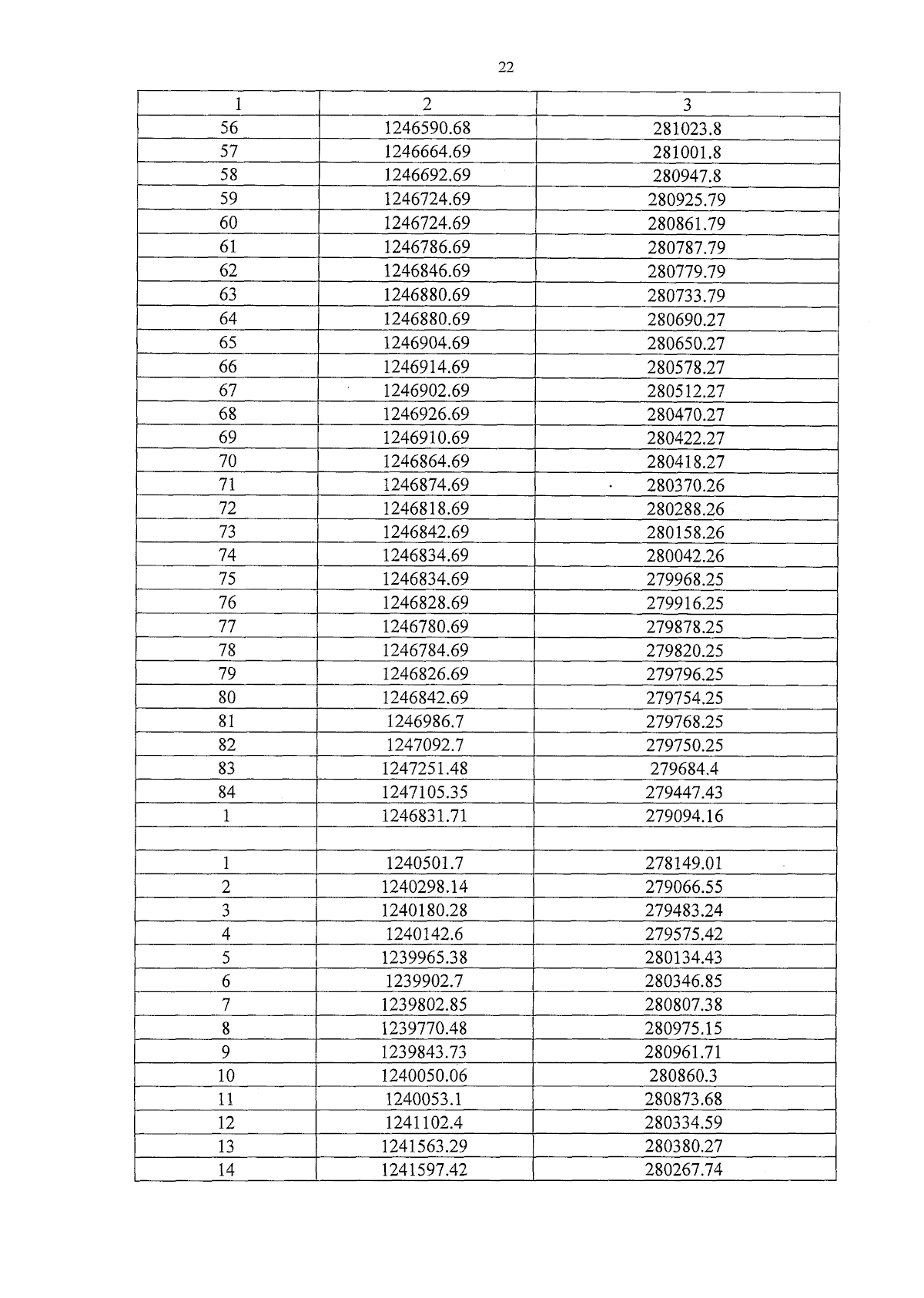
Постановление администрации Костромской области от 17.11.2025 № 458-а
"О преобразовании особо охраняемой природной территории регионального значения государственного природного заказника "Сумароковский"
Номер опубликования: 4400202511170002
Дата опубликования: 17.11.2025
Страница №24 из 115:
Увеличить