Официальное опубликование правовых актов
ОФИЦИАЛЬНОЕ ОПУБЛИКОВАНИЕ
Приказ Инспекции по охране объектов культурного наследия Костромской области от 18.09.2025 № 70-НПА
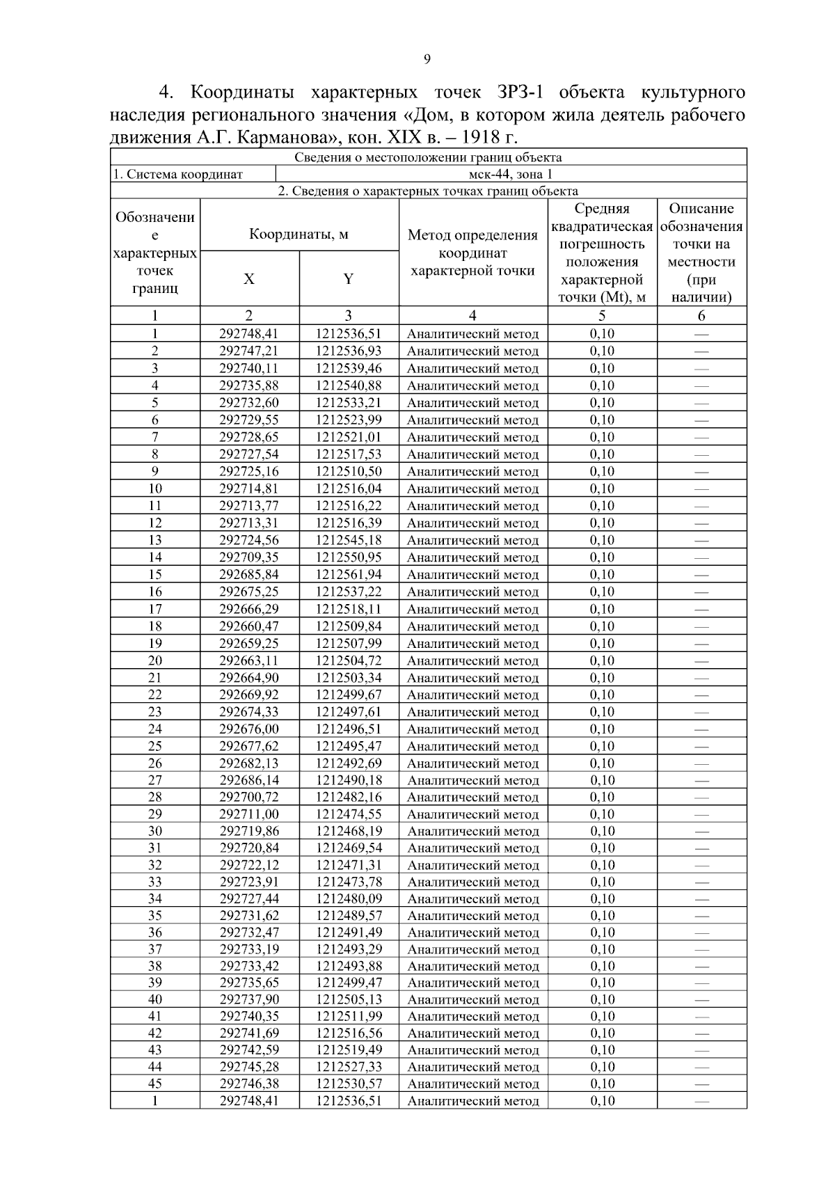
"Об установлении зон охраны объекта культурного наследия регионального значения "Дом, в котором жила деятель рабочего движения А.Г. Карманова", кон. XIX в. – 1918 г., расположенного по адресу: город Кострома, улица Козуева, дом 97"
(Зарегистрирован 22.09.2025 № 415)
Номер опубликования: 4401202509220002
Дата опубликования: 22.09.2025
Страница №9 из 18:
Увеличить