Постановление Правительства Курской области от 11.11.2024 № 924-пп
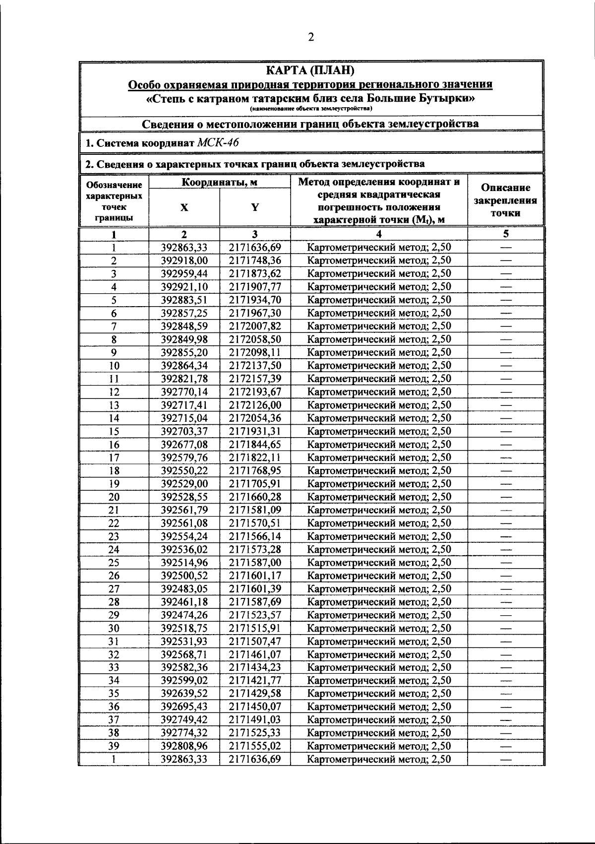
"О памятнике природы регионального значения "Степь с катраном татарским близ села Большие Бутырки"
"О памятнике природы регионального значения "Степь с катраном татарским близ села Большие Бутырки"
Номер опубликования: 4600202411150023
Дата опубликования:
15.11.2024
