Официальное опубликование правовых актов
ОФИЦИАЛЬНОЕ ОПУБЛИКОВАНИЕ
Постановление Правительства Липецкой области от 24.04.2025 № 230
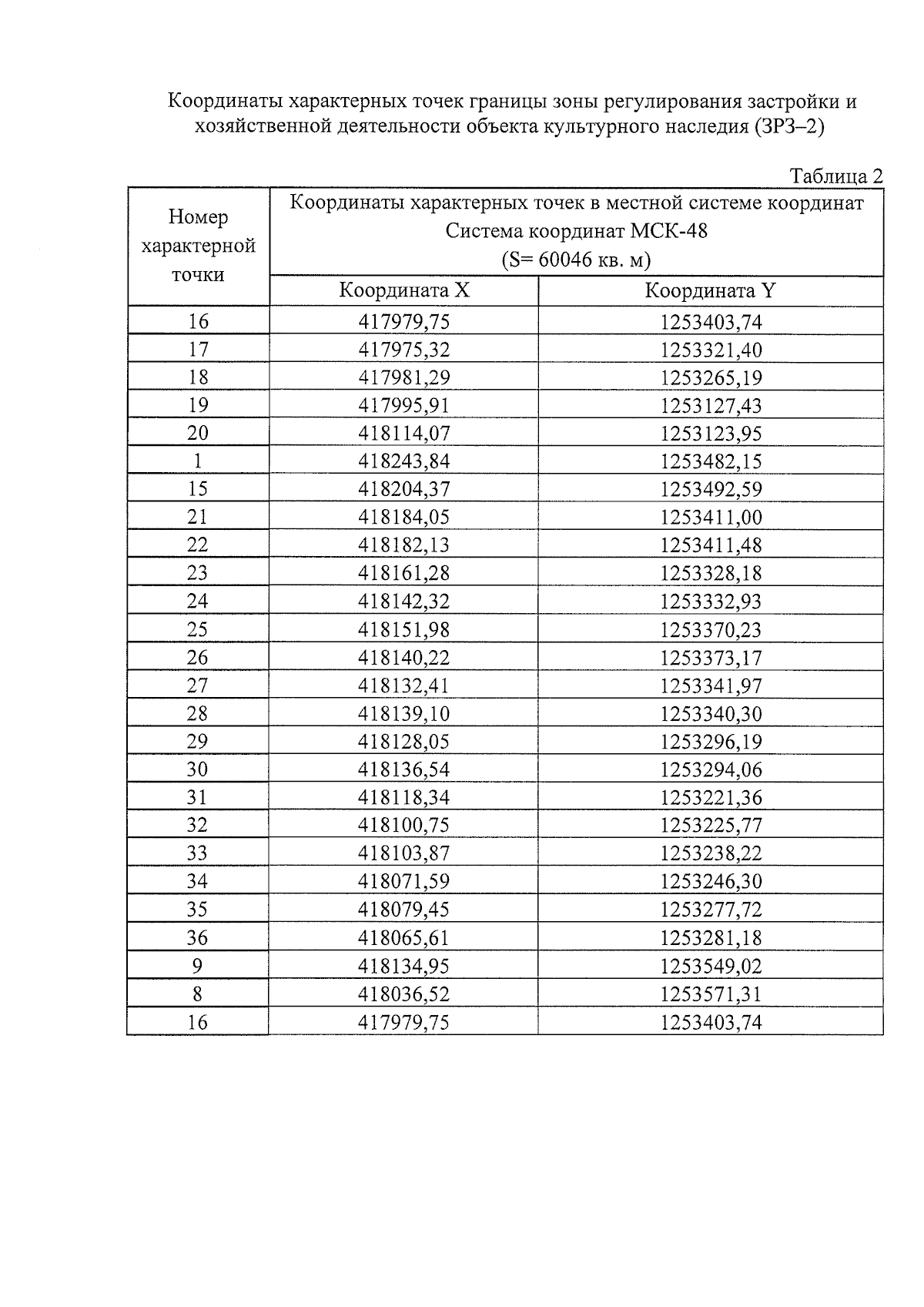
"Об установлении границ зон охраны объекта культурного наследия регионального значения "Здание паровозного депо, где находился центр забастовочного и стачечного движения рабочих и служащих в годы первой русской революции", 1905—1907 гг., расположенного по адресу: Липецкая область, г. Елец, ст. Елец, и утверждении требований к градостроительным регламентам в границах территорий данных зон"
Номер опубликования: 4800202504280001
Дата опубликования: 28.04.2025
Страница №7 из 10:
Увеличить