Постановление Правительства Липецкой области от 23.09.2025 № 464
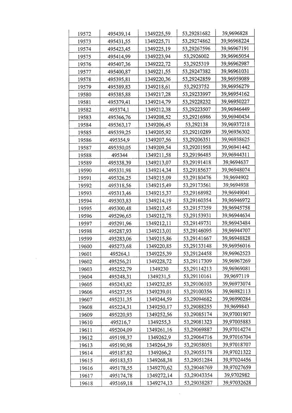
"Об установлении местоположения береговой линии (границы водного объекта), границы водоохранных зон и границы прибрежных защитных полос реки Московская ряса (Ряса)"
"Об установлении местоположения береговой линии (границы водного объекта), границы водоохранных зон и границы прибрежных защитных полос реки Московская ряса (Ряса)"
Номер опубликования: 4800202509290002
Дата опубликования:
29.09.2025
