Официальное опубликование правовых актов
ОФИЦИАЛЬНОЕ ОПУБЛИКОВАНИЕ
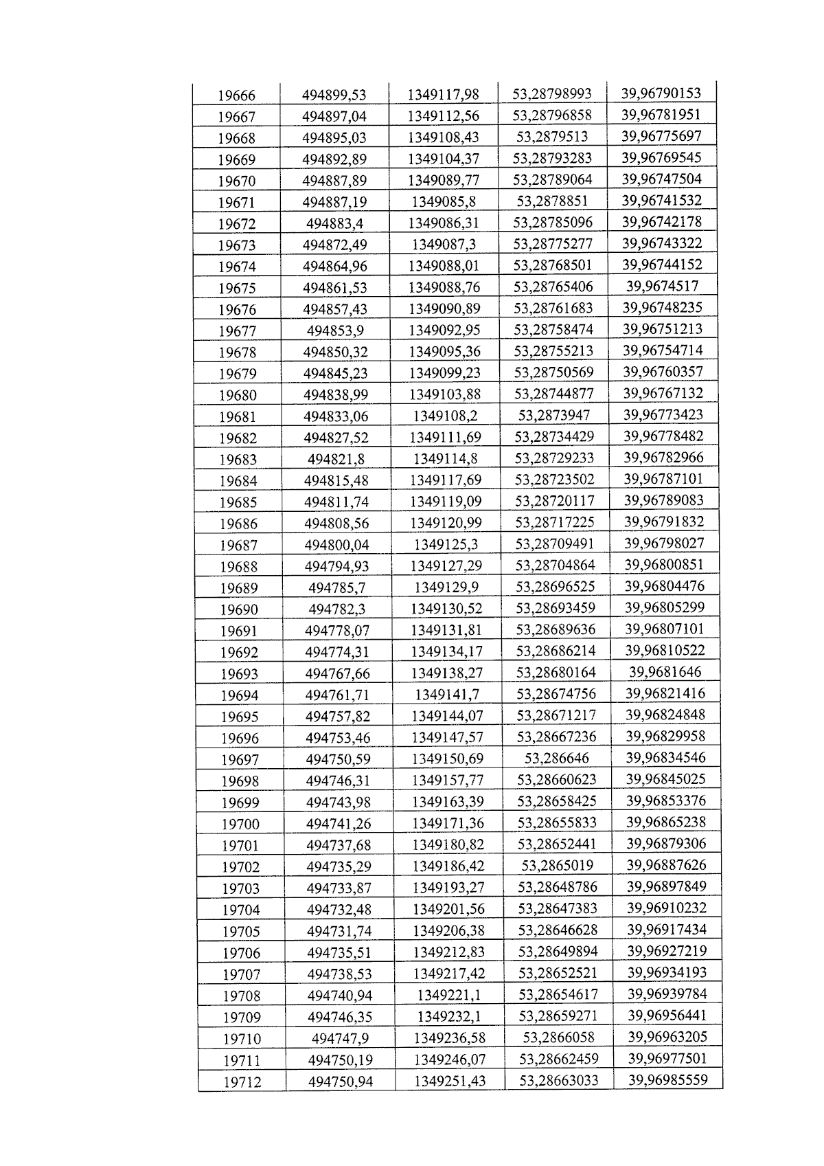
Постановление Правительства Липецкой области от 23.09.2025 № 464
"Об установлении местоположения береговой линии (границы водного объекта), границы водоохранных зон и границы прибрежных защитных полос реки Московская ряса (Ряса)"
Номер опубликования: 4800202509290002
Дата опубликования: 29.09.2025
Страница №1033 из 1051:
Увеличить