Официальное опубликование правовых актов
ОФИЦИАЛЬНОЕ ОПУБЛИКОВАНИЕ
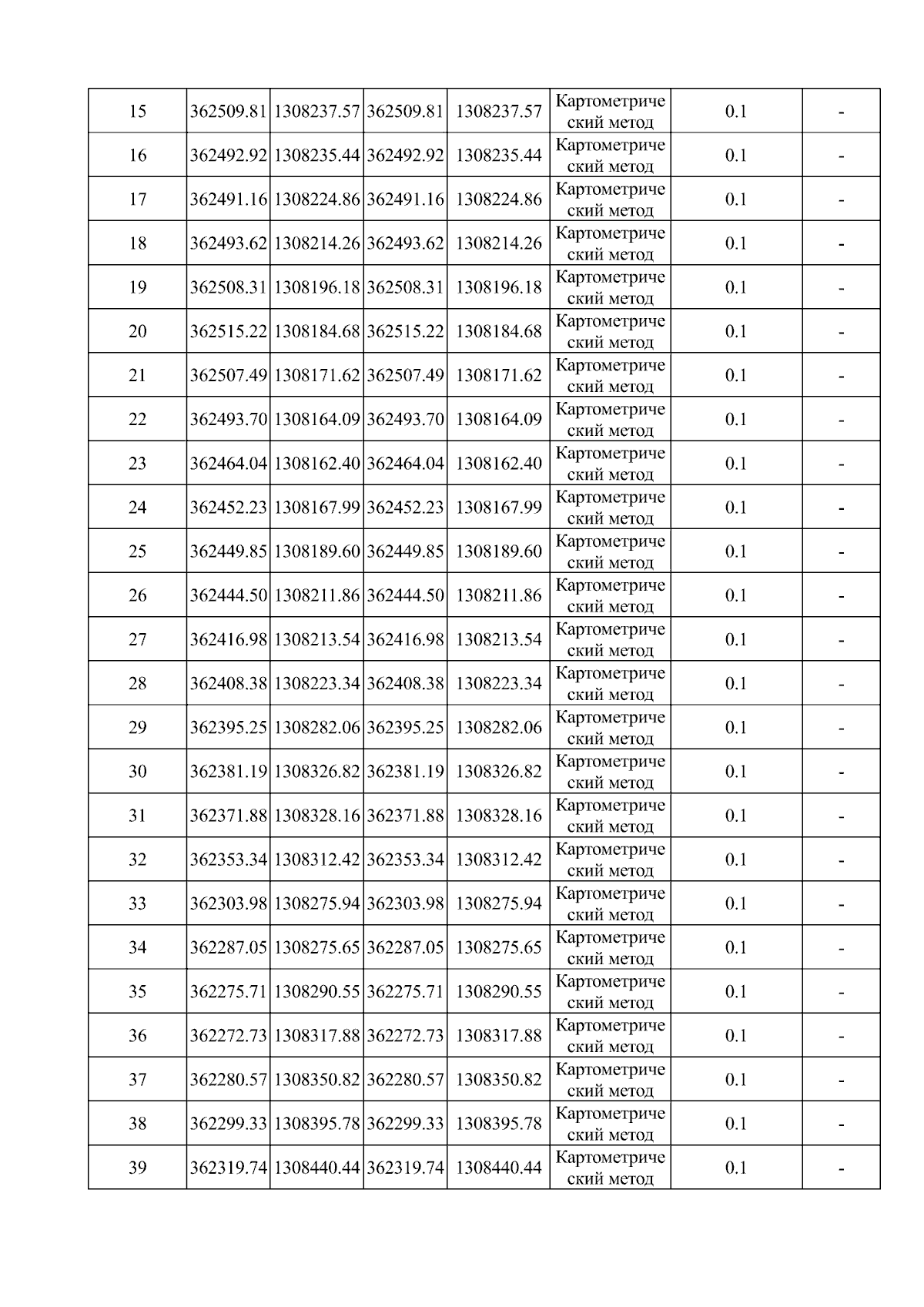
Приказ министерства строительства и архитектуры Липецкой области от 26.08.2025 № 381
"О принятии решения об утверждении генерального плана сельского поселения Синдякинский сельсовет Хлевенского муниципального района Липецкой области"
Номер опубликования: 4801202508270008
Дата опубликования: 27.08.2025
Страница №22 из 78:
Увеличить