Официальное опубликование правовых актов
ОФИЦИАЛЬНОЕ ОПУБЛИКОВАНИЕ
Указ Губернатора Новгородской области от 23.03.2018 № 107
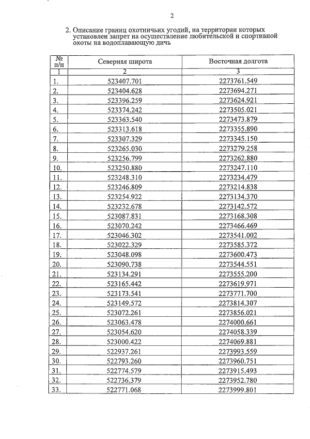
"О внесении изменений в Параметры осуществления охоты в охотничьих угодьях на территории Новгородской области, за исключением особо охраняемых природных территорий федерального значения"
Номер опубликования: 5300201803290007
Дата опубликования: 29.03.2018
Страница №4 из 7:
Увеличить