Официальное опубликование правовых актов
ОФИЦИАЛЬНОЕ ОПУБЛИКОВАНИЕ
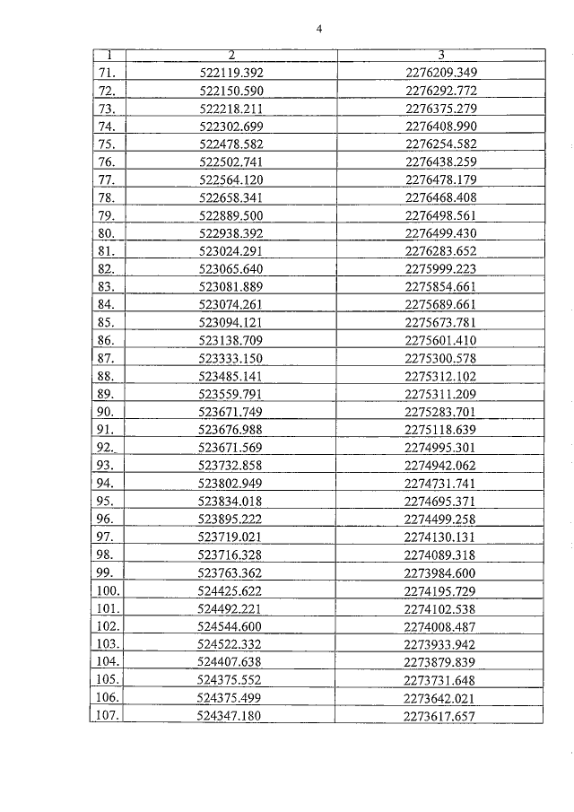
Указ Губернатора Новгородской области от 23.03.2018 № 107
"О внесении изменений в Параметры осуществления охоты в охотничьих угодьях на территории Новгородской области, за исключением особо охраняемых природных территорий федерального значения"
Номер опубликования: 5300201803290007
Дата опубликования: 29.03.2018
Страница №6 из 7:
Увеличить