Официальное опубликование правовых актов
ОФИЦИАЛЬНОЕ ОПУБЛИКОВАНИЕ
Постановление Комитета по тарифной политике Новгородской области от 29.05.2025 № 24/1
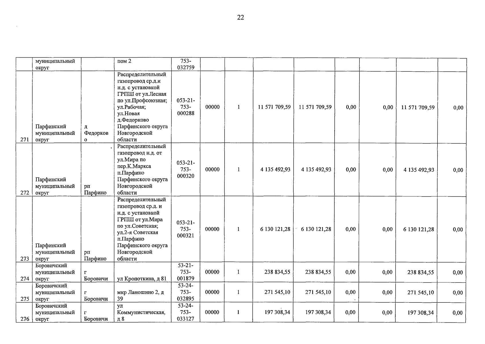
"Об утверждении размера экономически обоснованных расходов на выполнение мероприятий по подключению (технологическому присоединению) к газораспределительным сетям газоиспользующего оборудования в рамках догазификации за март 2025 года"
(Зарегистрирован 02.06.2025 № 1494)
Номер опубликования: 5301202506050005
Дата опубликования: 05.06.2025
Страница №24 из 33:
Увеличить