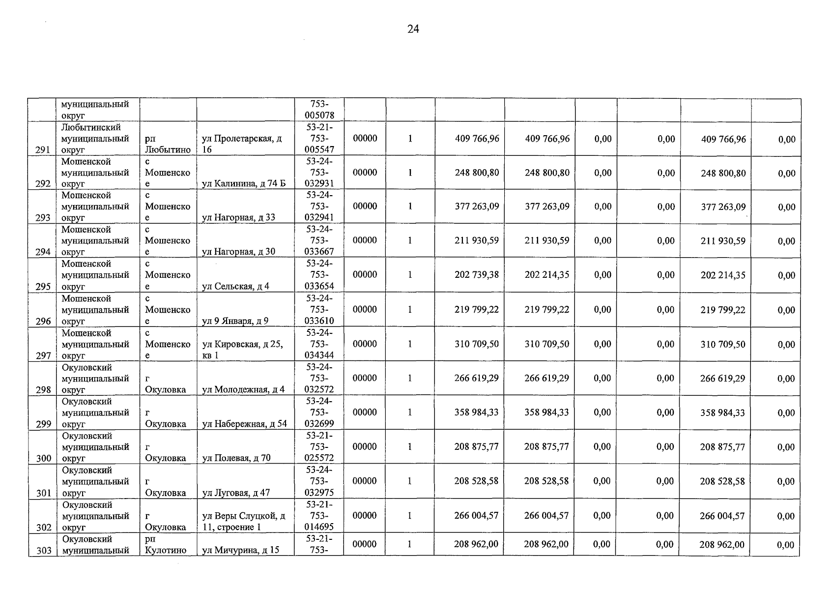
Постановление Комитета по тарифной политике Новгородской области от 29.05.2025 № 24/1
"Об утверждении размера экономически обоснованных расходов на выполнение мероприятий по подключению (технологическому присоединению) к газораспределительным сетям газоиспользующего оборудования в рамках догазификации за март 2025 года"
(Зарегистрирован 02.06.2025 № 1494)
"Об утверждении размера экономически обоснованных расходов на выполнение мероприятий по подключению (технологическому присоединению) к газораспределительным сетям газоиспользующего оборудования в рамках догазификации за март 2025 года"
(Зарегистрирован 02.06.2025 № 1494)
Номер опубликования: 5301202506050005
Дата опубликования:
05.06.2025
