Официальное опубликование правовых актов
ОФИЦИАЛЬНОЕ ОПУБЛИКОВАНИЕ
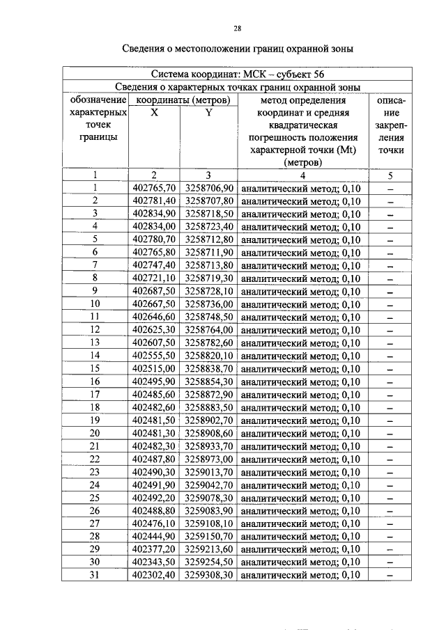
Постановление Правительства Оренбургской области от 18.02.2019 № 91-п
"Об утверждении границ охранных зон газораспределительных сетей и наложении ограничений на входящие в них земельные участки, расположенные на территории муниципального образования Кувандыкский городской округ Оренбургской области"
Номер опубликования: 5600201902210004
Дата опубликования: 21.02.2019
Страница №28 из 44:
Увеличить