Официальное опубликование правовых актов
ОФИЦИАЛЬНОЕ ОПУБЛИКОВАНИЕ
Постановление Правительства Оренбургской области от 19.09.2019 № 718-пп
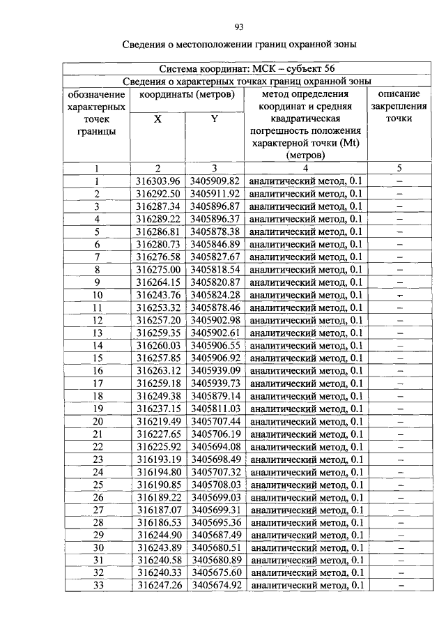
"Об утверждении границ охранных зон газораспределительных сетей и наложении ограничений на входящие в них земельные участки, расположенные на территории муниципального образования Домбаровский район Оренбургской области"
Номер опубликования: 5600201909240007
Дата опубликования: 24.09.2019
Страница №93 из 102:
Увеличить