Официальное опубликование правовых актов
ОФИЦИАЛЬНОЕ ОПУБЛИКОВАНИЕ
Приказ Министерства природных ресурсов, экологии и имущественных отношений Оренбургской области от 10.12.2025 № 540
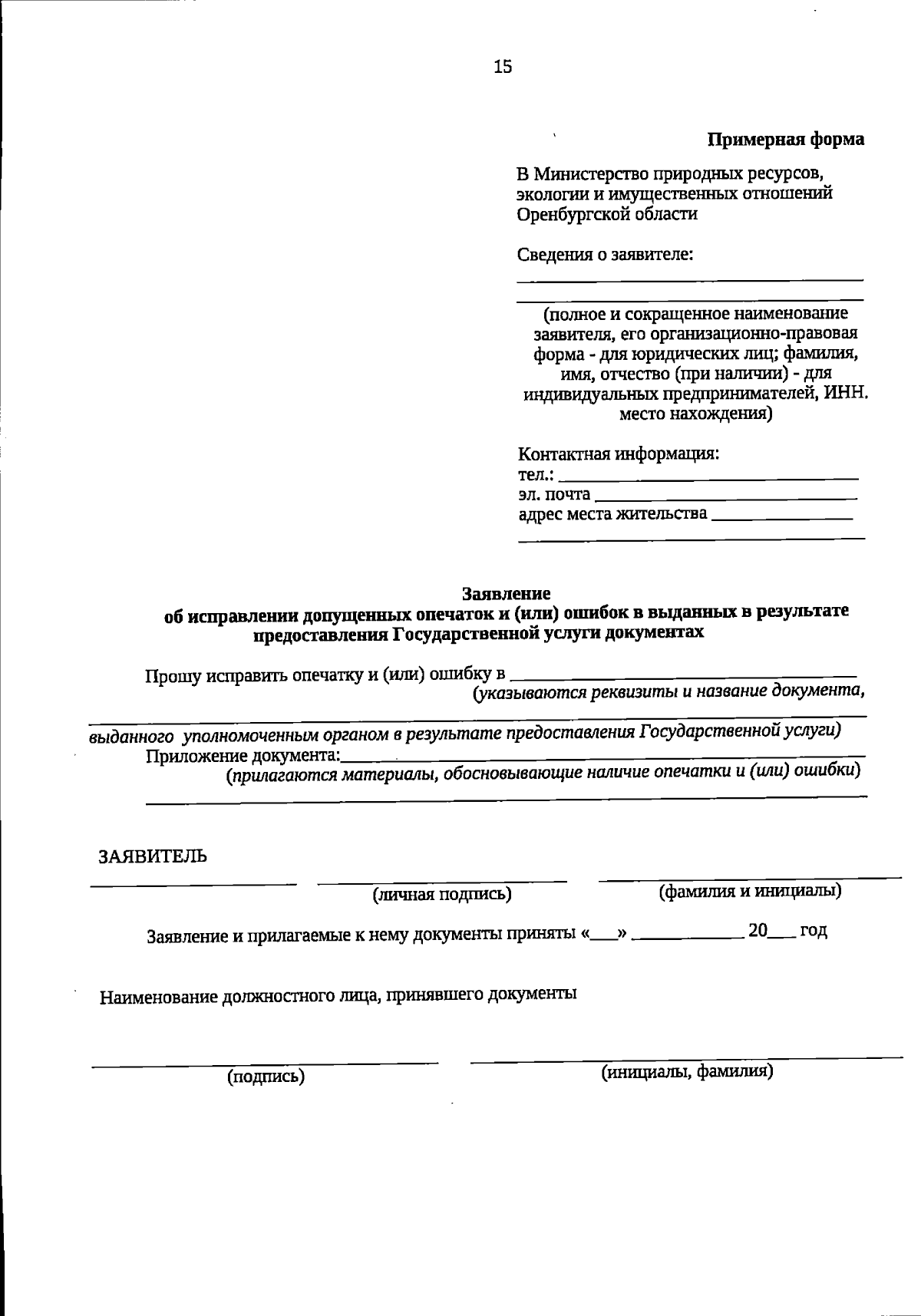
"Об утверждении административного регламента по предоставлению государственной услуги по выдаче разрешений на оборот, добывание, содержание, разведение и иные виды использования объектов, занесенных в Красную книгу Оренбургской области, включая находящихся на особо охраняемых природных территориях областного значения, за исключением объектов, занесенных в Красную книгу Российской Федерации"
(Зарегистрирован 11.12.2025 № 0096/2025/06)
Номер опубликования: 5601202512150012
Дата опубликования: 15.12.2025
Страница №15 из 15:
Увеличить