Официальное опубликование правовых актов
ОФИЦИАЛЬНОЕ ОПУБЛИКОВАНИЕ
Приказ Министерства природных ресурсов, экологии и имущественных отношений Оренбургской области от 10.12.2025 № 539
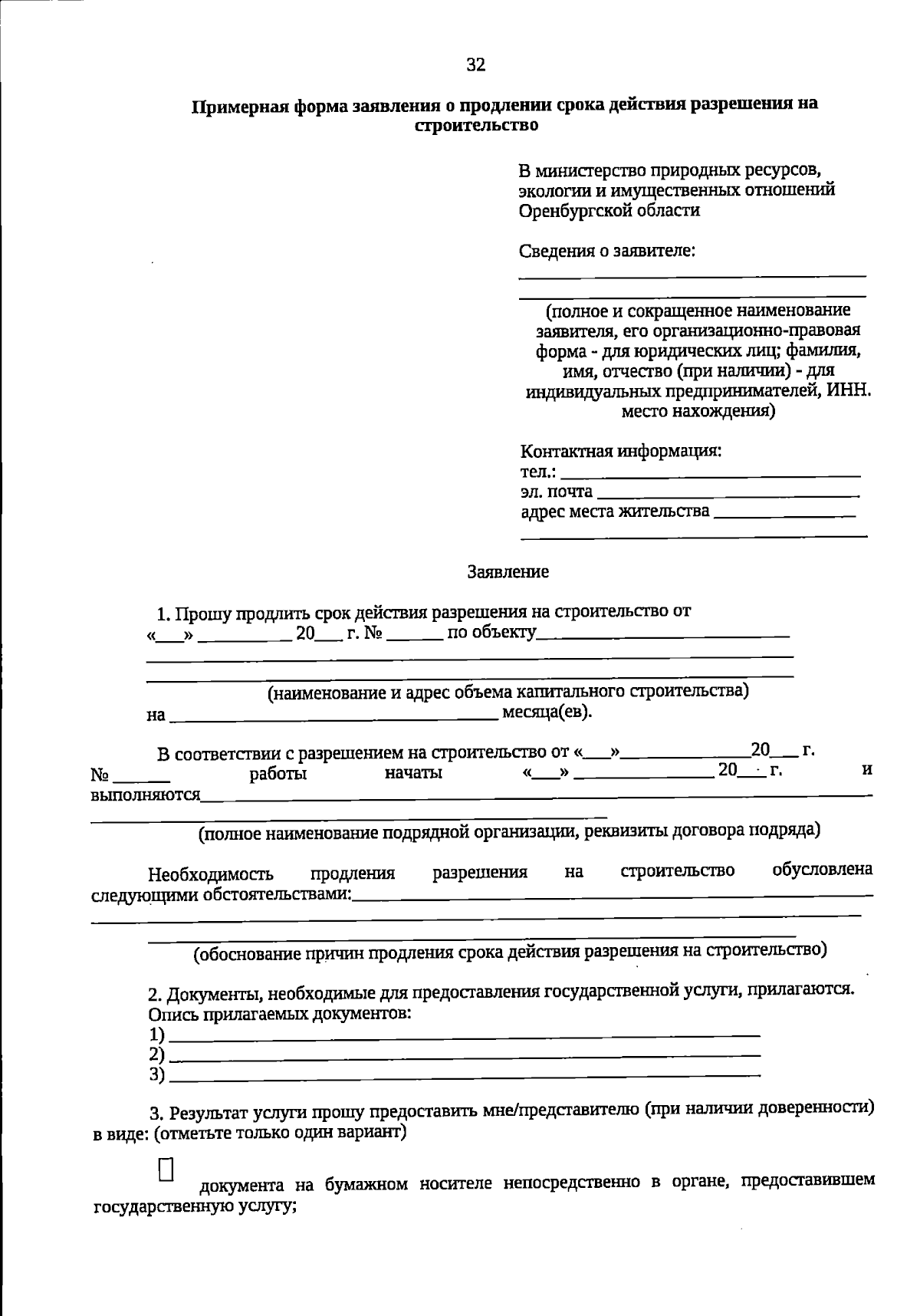
"Об утверждении административного регламента по предоставлению государственной услуги по выдаче разрешений на строительство в случае осуществления строительства, реконструкции объектов капитального строительства в границах особо охраняемых природных территорий областного значения"
(Зарегистрирован 11.12.2025 № 0097/2025/06)
Номер опубликования: 5601202512150013
Дата опубликования: 15.12.2025
Страница №32 из 37:
Увеличить