Официальное опубликование правовых актов
ОФИЦИАЛЬНОЕ ОПУБЛИКОВАНИЕ
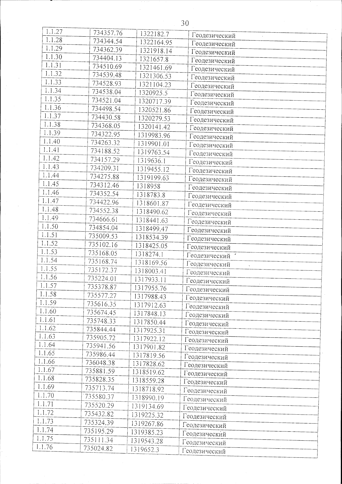
Приказ Министерства природных ресурсов, лесного хозяйства и экологии Пермского края от 01.12.2025 № 30-01-02-1472
"О внесении изменений в приказ Министерства природных ресурсов, лесного хозяйства и экологии Пермского края от 13 февраля 2017 г. № СЭД-30-01-02-186 "Об утверждении положений об особо охраняемых природных территориях регионального значения Косинского муниципального района Пермского края"
(Зарегистрирован 01.12.2025 № 30-01-02-1472)
Номер опубликования: 5901202512020001
Дата опубликования: 02.12.2025
Страница №31 из 46:
Увеличить