Официальное опубликование правовых актов
ОФИЦИАЛЬНОЕ ОПУБЛИКОВАНИЕ
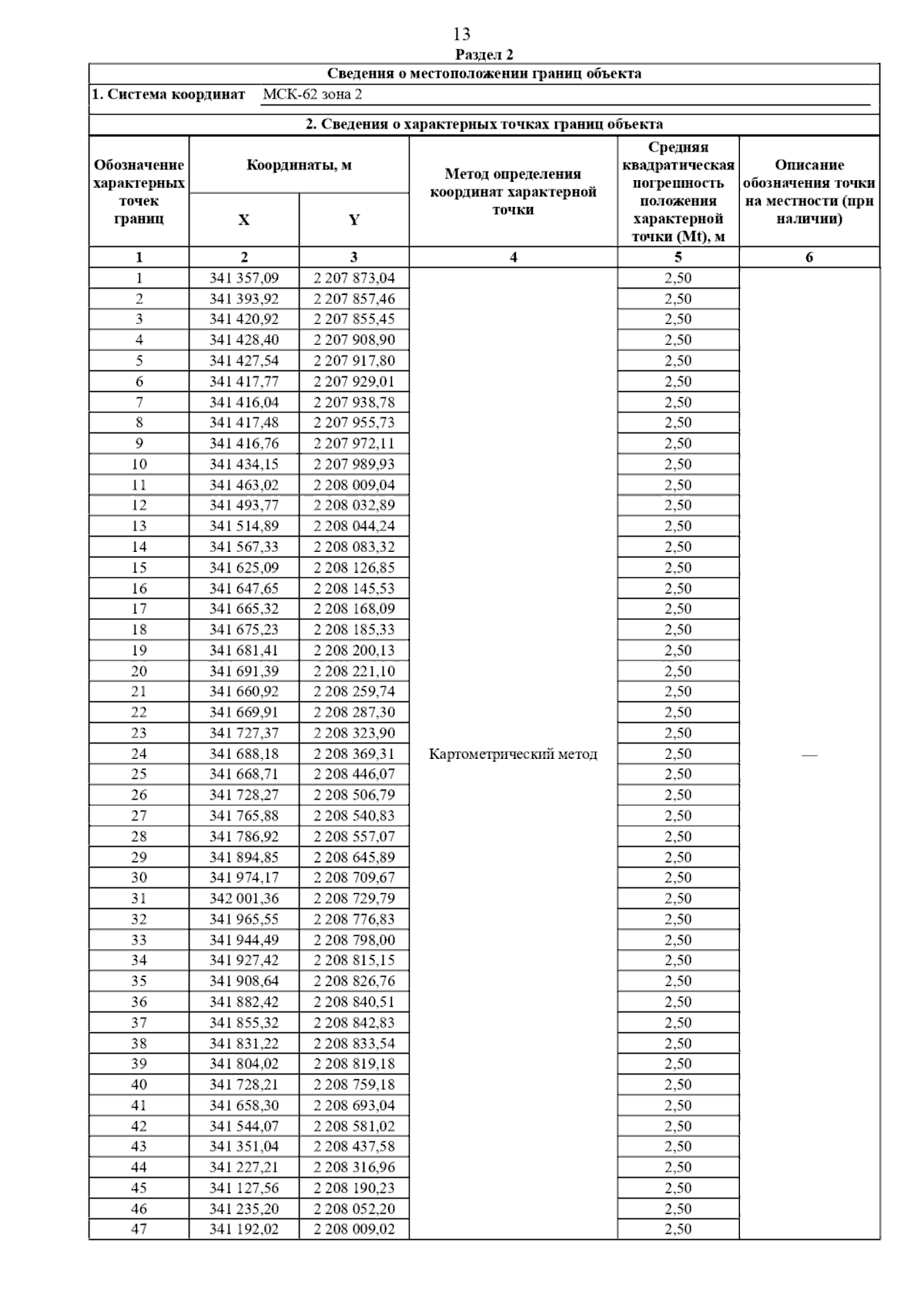
Постановление Главного управления архитектуры и градостроительства Рязанской области от 26.05.2025 № 415-п
"Об утверждении правил землепользования и застройки муниципального образования – Желобовское сельское поселение Сараевского муниципального района Рязанской области"
(Зарегистрирован 27.05.2025 № 638)
Номер опубликования: 6201202505290016
Дата опубликования: 29.05.2025
Страница №40 из 119:
Увеличить