Официальное опубликование правовых актов
ОФИЦИАЛЬНОЕ ОПУБЛИКОВАНИЕ
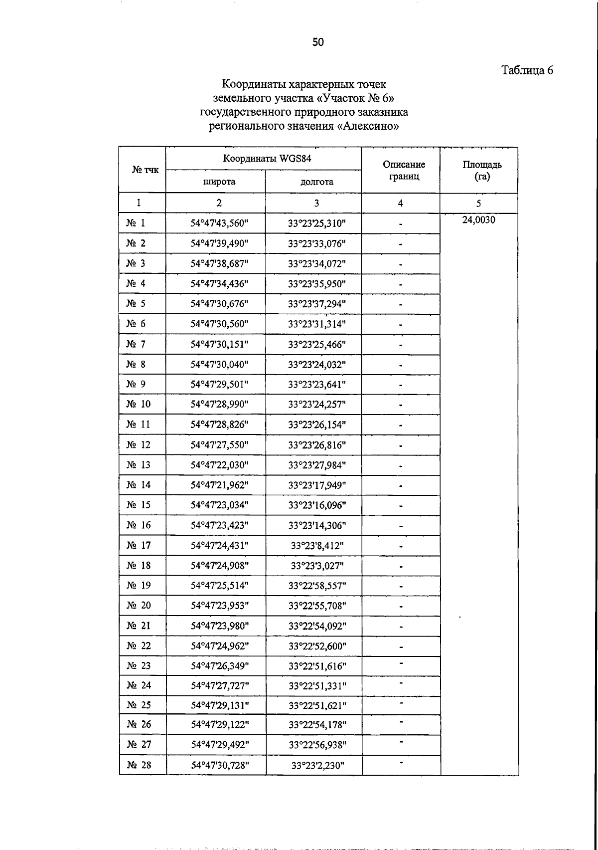
Постановление Правительства Смоленской области от 17.07.2025 № 430
"Об утверждении границ государственного природного заказника регионального значения "Алексино" и Положения о государственном природном заказнике регионального значения "Алексино"
Номер опубликования: 6700202507220005
Дата опубликования: 22.07.2025
Страница №50 из 77:
Увеличить