Официальное опубликование правовых актов
ОФИЦИАЛЬНОЕ ОПУБЛИКОВАНИЕ
Постановление Правительства Смоленской области от 15.09.2025 № 567
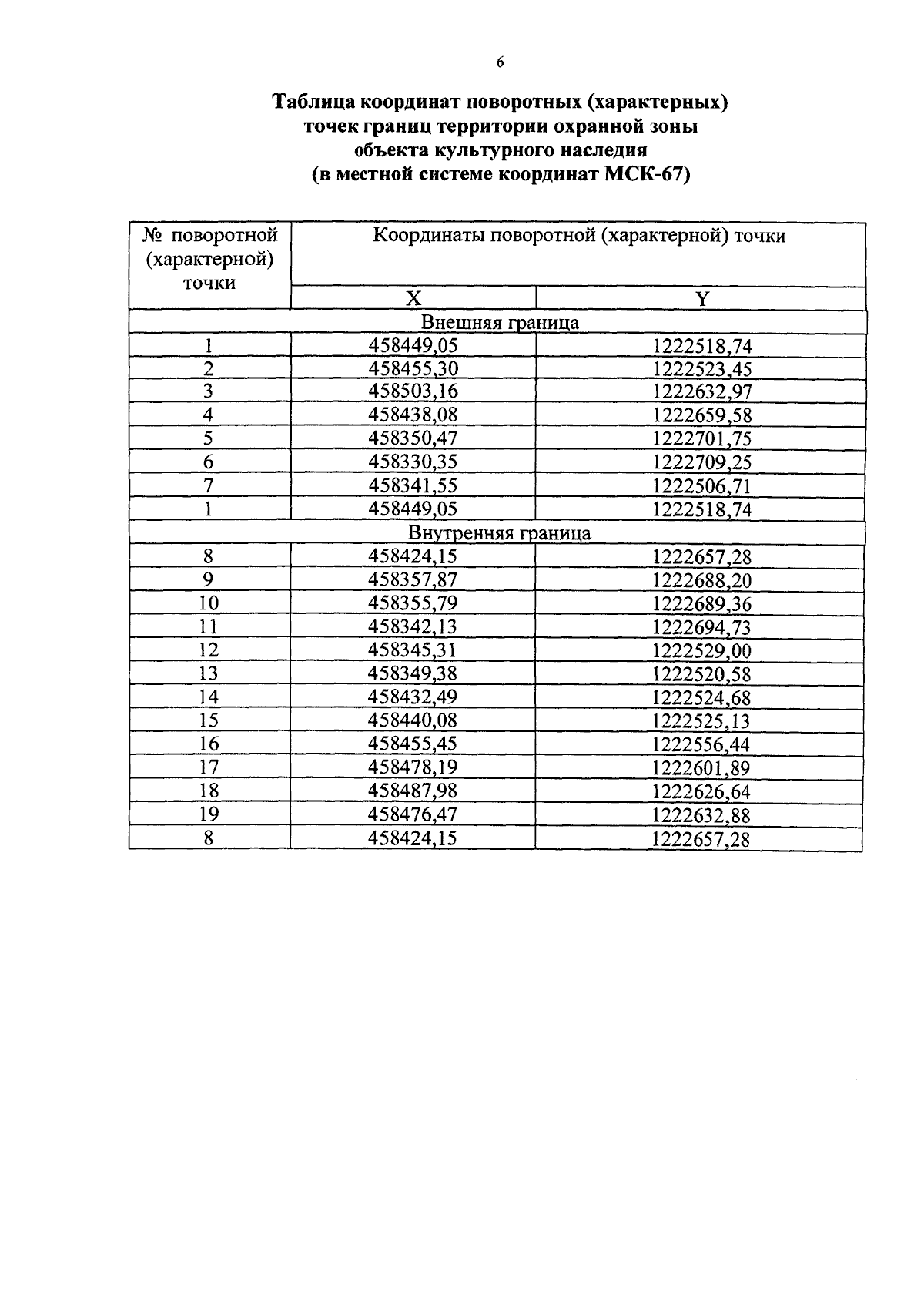
"Об установлении зон охраны объекта культурного наследия (памятника истории и культуры) народов Российской Федерации регионального значения "Братские могилы 30 000 советских военнопленных, умерших в госпитале в 1941-1943 гг.", расположенного по адресу (местонахождение): Смоленская область, г. Смоленск, проезд Маршала Конева, сквер, и утверждении требований к градостроительным регламентам в границах территорий данных зон"
Номер опубликования: 6700202509170004
Дата опубликования: 17.09.2025
Страница №6 из 9:
Увеличить