Официальное опубликование правовых актов
ОФИЦИАЛЬНОЕ ОПУБЛИКОВАНИЕ
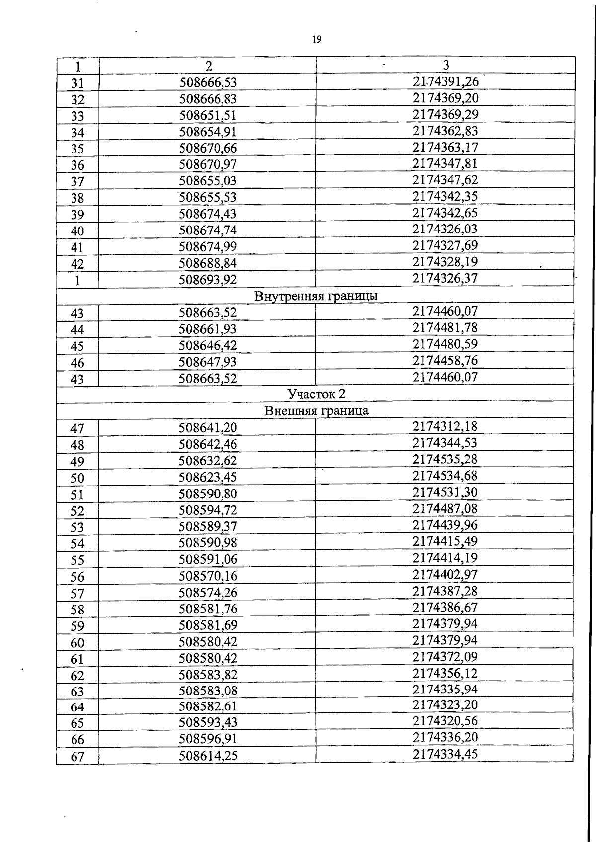
Постановление Правительства Смоленской области от 12.02.2026 № 87
"Об установлении единой охранной зоны, единой зоны регулирования застройки и хозяйственной деятельности, единой зоны охраняемого природного ландшафта объекта культурного наследия (памятника истории и культуры) народов Российской Федерации федерального значения "Бюст Карла Маркса", 1959 г., расположенного по адресу: Смоленская область, г. Вязьма, городской сквер; объекта культурного наследия (памятника истории и культуры) народов Российской Федерации регионального значения "Дом жилой", расположенного по адресу: Смоленская область, Вяземский район, г. Вязьма, ул. Ленина, д. 8; объекта культурного наследия (памятника истории и культуры) народов Российской Федерации регионального значения "Дом жилой", сер. XIX в., расположенного по адресу: Смоленская область, Вяземский район, город Вязьма, ул. Ленина, д. 25; объекта культурного наследия (памятника истории и культуры) народов Российской Федерации регионального значения "Дом жилой", нач. XIX в., расположенного по адресу: Смоленская область, Вяземский район, г. Вязьма, ул. Ленина, д. 21; объекта культурного наследия (памятника истории и культуры) народов Российской Федерации регионального значения "Дом жилой", 1-я пол. XIX в., расположенного по адресу: Смоленская область, Вяземский район, город Вязьма, ул. Ленина, д. 6; объекта культурного наследия (памятника истории и культуры) народов Российской Федерации регионального значения "Дом жилой", кон. XVIII в., 1878 г., расположенного по адресу: Смоленская область, Вяземский район, город Вязьма, ул. Ленина, д. 10; объекта культурного наследия (памятника истории и культуры) народов Российской Федерации регионального значения "Дом жилой", 1894 г., расположенного по адресу: Смоленская область, Вяземский район, город Вязьма, ул. Ленина, д. 17; объекта культурного наследия (памятника истории и культуры) народов Российской Федерации регионального значения "Дом жилой", сер. XIХ в., расположенного по адресу: Смоленская область, Вяземский район, город Вязьма, ул. Ленина, д. 19; объекта культурного наследия (памятника истории и культуры) народов Российской Федерации регионального значения "Дом жилой", 1-я пол. XIХ в., расположенного по адресу: Смоленская область, г. Вязьма, пл. Ефремова, д. 1/2; объекта культурного наследия (памятника истории и культуры) народов Российской Федерации регионального значения "Дом жилой", нач. XIХ в., расположенного по адресу: Смоленская область, Вяземский район, город Вязьма, ул. Ленина, д. 23, и утверждении требований к градостроительным регламентам в границах территорий данных зон"
Номер опубликования: 6700202602130003
Дата опубликования: 13.02.2026
Страница №19 из 43:
Увеличить