Постановление Правительства Смоленской области от 12.02.2026 № 86
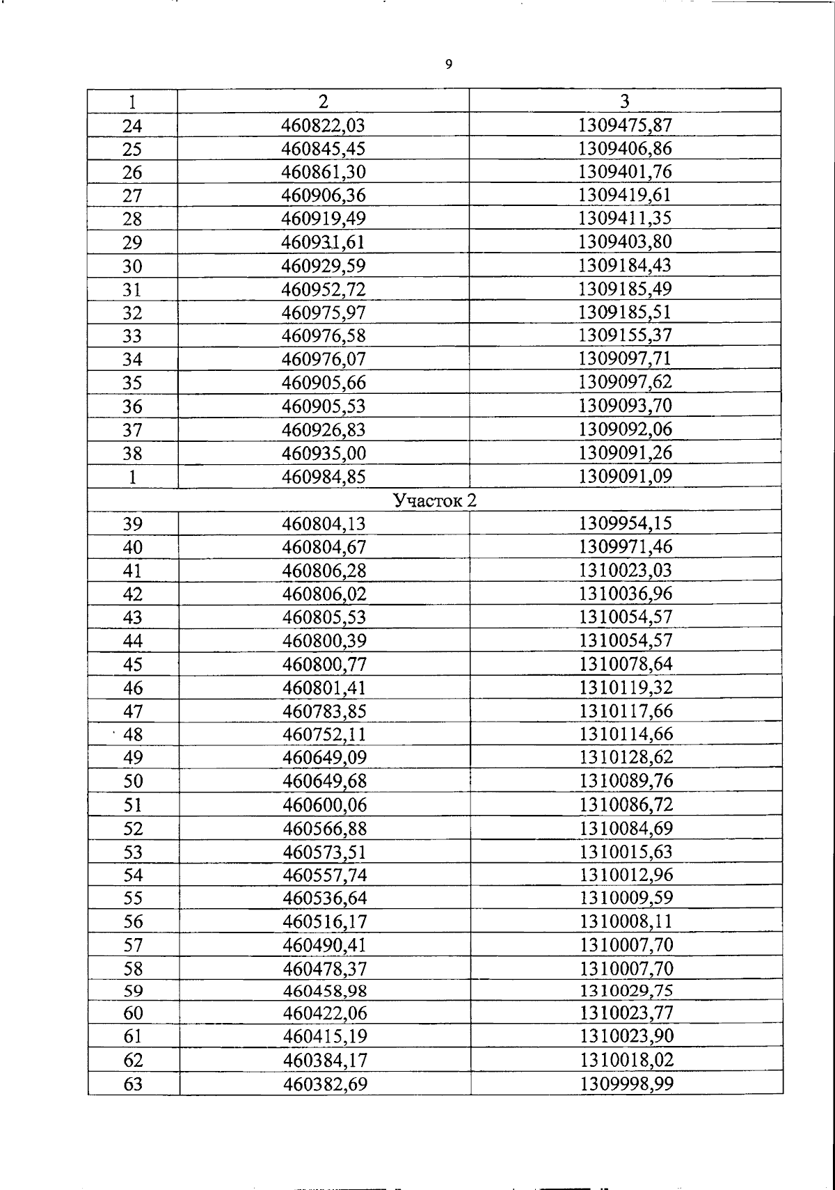
"Об установлении зон охраны объекта культурного наследия (памятника истории и культуры) народов Российской Федерации федерального значения "Усадьба Алексино (Барышниковых)", 1768 - 1824 гг.", расположенного по адресу (местонахождение): Смоленская область, Дорогобужский район, с. Алексино, ул. Заозерная, д. 6, д. 7, ул. Кремлевская, д. 1, д. 2, ул. Санаторная, д. 5, ул. Парковая, д. 1, д. 3, д. 4, д. 6, д. 7, д. 8, д. 9, ул. Центральная, дом 19, дом 19а, и утверждении требований к градостроительным регламентам в границах территорий данных зон"
"Об установлении зон охраны объекта культурного наследия (памятника истории и культуры) народов Российской Федерации федерального значения "Усадьба Алексино (Барышниковых)", 1768 - 1824 гг.", расположенного по адресу (местонахождение): Смоленская область, Дорогобужский район, с. Алексино, ул. Заозерная, д. 6, д. 7, ул. Кремлевская, д. 1, д. 2, ул. Санаторная, д. 5, ул. Парковая, д. 1, д. 3, д. 4, д. 6, д. 7, д. 8, д. 9, ул. Центральная, дом 19, дом 19а, и утверждении требований к градостроительным регламентам в границах территорий данных зон"
Номер опубликования: 6700202602130005
Дата опубликования:
13.02.2026
