Официальное опубликование правовых актов
ОФИЦИАЛЬНОЕ ОПУБЛИКОВАНИЕ
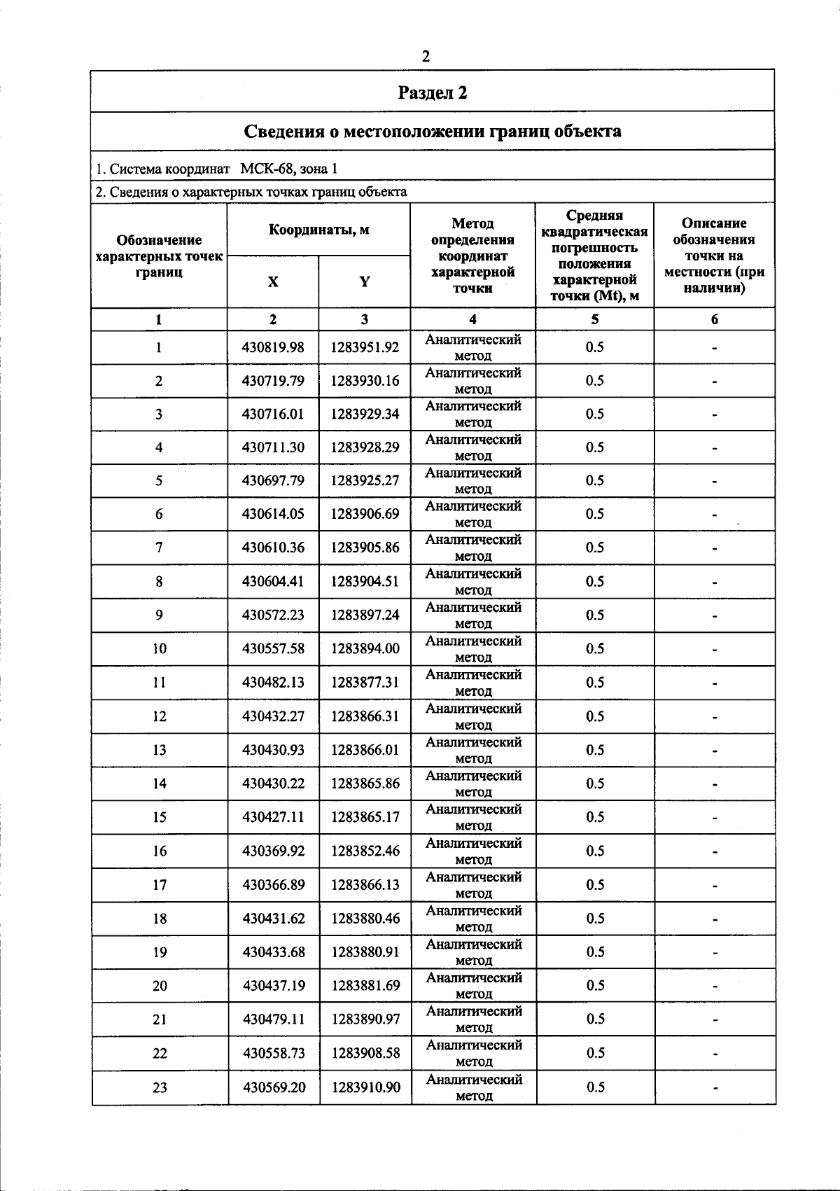
Приказ Министерства имущественных отношений и государственного заказа Тамбовской области от 20.03.2025 № 200
"Об установлении публичного сервитута"
(Зарегистрирован 20.03.2025 № 200)
Номер опубликования: 6801202503240005
Дата опубликования: 24.03.2025
Страница №5 из 10:
Увеличить