Официальное опубликование правовых актов
ОФИЦИАЛЬНОЕ ОПУБЛИКОВАНИЕ
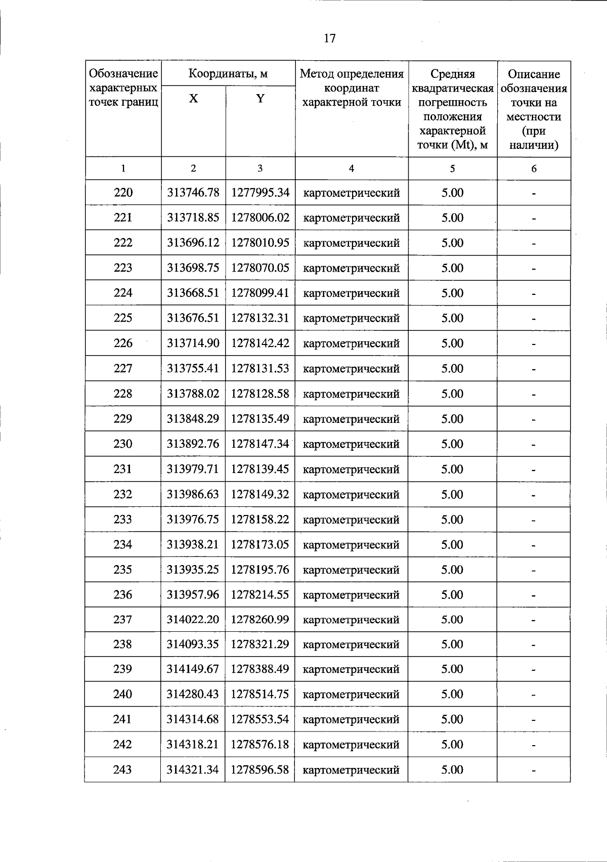
Постановление Правительства Тверской области от 23.01.2025 № 16-пп
"Об особо охраняемой природной территории регионального значения – государственном природном заказнике "Болото Давыдовское"
Номер опубликования: 6900202501240015
Дата опубликования: 24.01.2025
Страница №17 из 25:
Увеличить