Официальное опубликование правовых актов
ОФИЦИАЛЬНОЕ ОПУБЛИКОВАНИЕ
Распоряжение Правительства Тверской области от 25.04.2025 № 694-рп
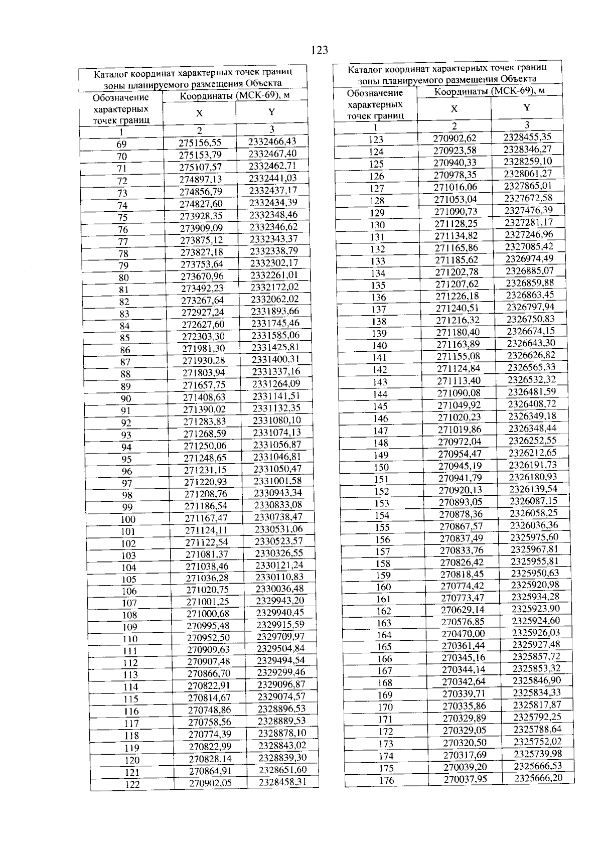
"Об утверждении документации по планировке территории для размещения объекта энергетики регионального значения "КВЛ 35кВ Конаковская ГРЭС – ПС 35кВ Архангельское 1, 2 цепь с отпайками"
Номер опубликования: 6900202504290002
Дата опубликования: 29.04.2025
Страница №123 из 162:
Увеличить