Официальное опубликование правовых актов
ОФИЦИАЛЬНОЕ ОПУБЛИКОВАНИЕ
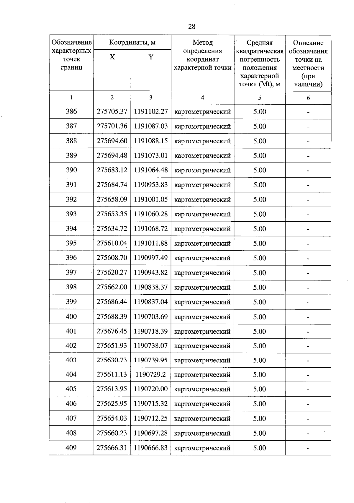
Постановление Правительства Тверской области от 12.09.2025 № 489-пп
"Об особо охраняемой природной территории регионального значения – государственном природном заказнике "Чистый лес имени В.С. Пажетнова"
Номер опубликования: 6900202509150020
Дата опубликования: 15.09.2025
Страница №28 из 38:
Увеличить