Официальное опубликование правовых актов
ОФИЦИАЛЬНОЕ ОПУБЛИКОВАНИЕ
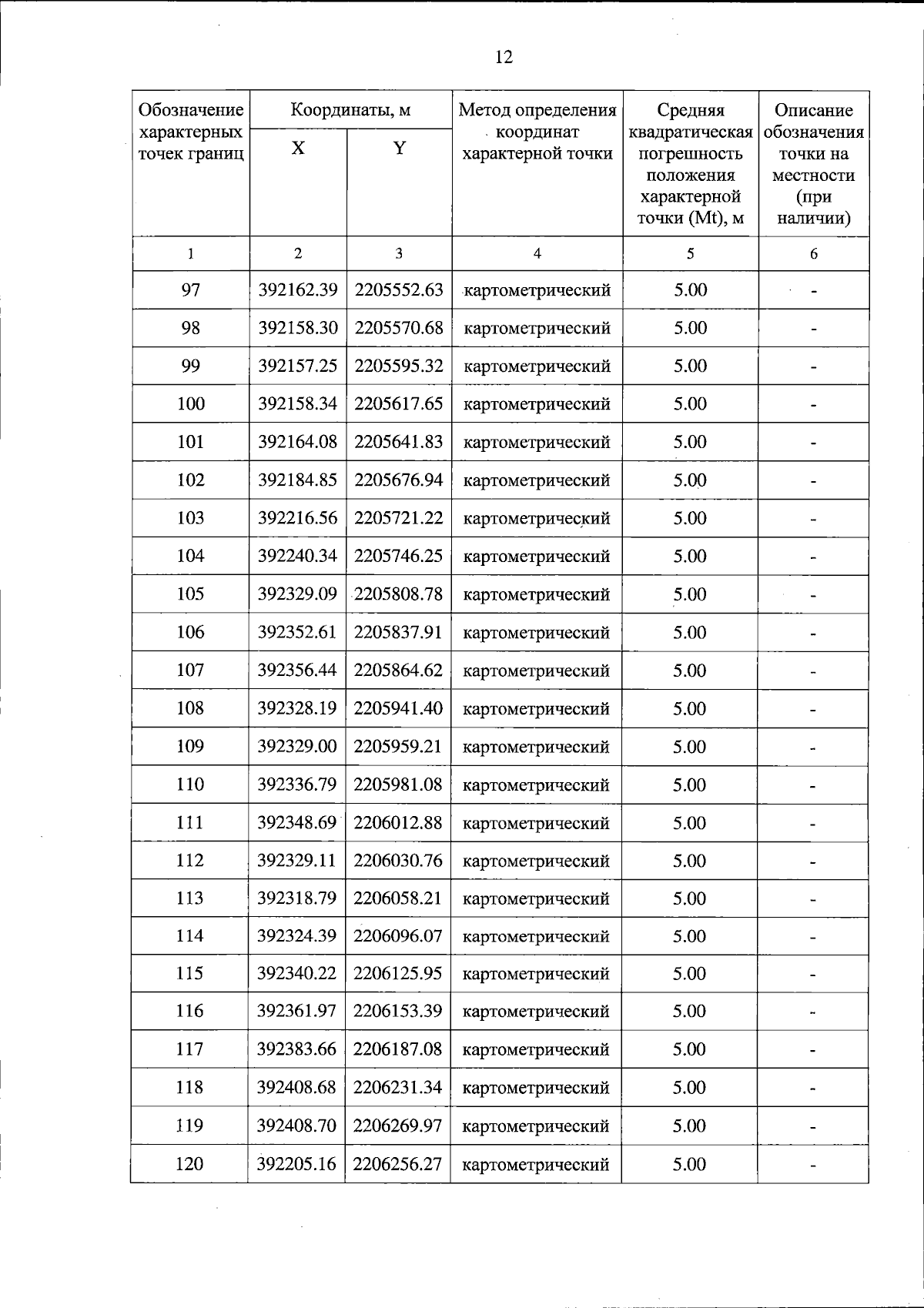
Постановление Правительства Тверской области от 03.10.2025 № 539-пп
"Об особо охраняемой природной территории регионального значения – государственном природном заказнике "Лесные массивы у озер Писошня и Хвошино"
Номер опубликования: 6900202510080022
Дата опубликования: 08.10.2025
Страница №12 из 16:
Увеличить