Официальное опубликование правовых актов
ОФИЦИАЛЬНОЕ ОПУБЛИКОВАНИЕ
Постановление Правительства Тверской области от 02.04.2026 № 200-пп
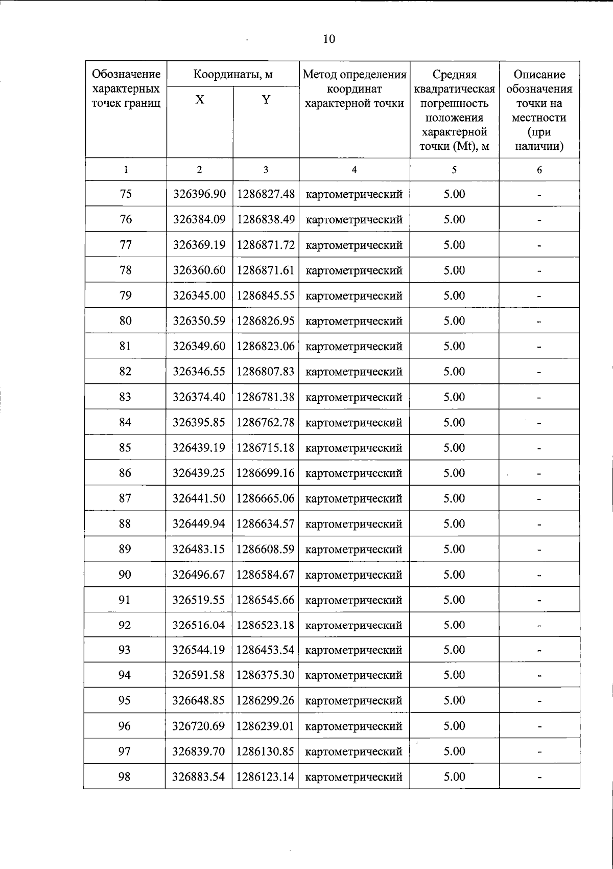
"Об утверждении Паспорта особо охраняемой природной территории регионального значения – памятника природы "Остров Кличен"
Номер опубликования: 6900202604030030
Дата опубликования: 03.04.2026
Страница №10 из 15:
Увеличить