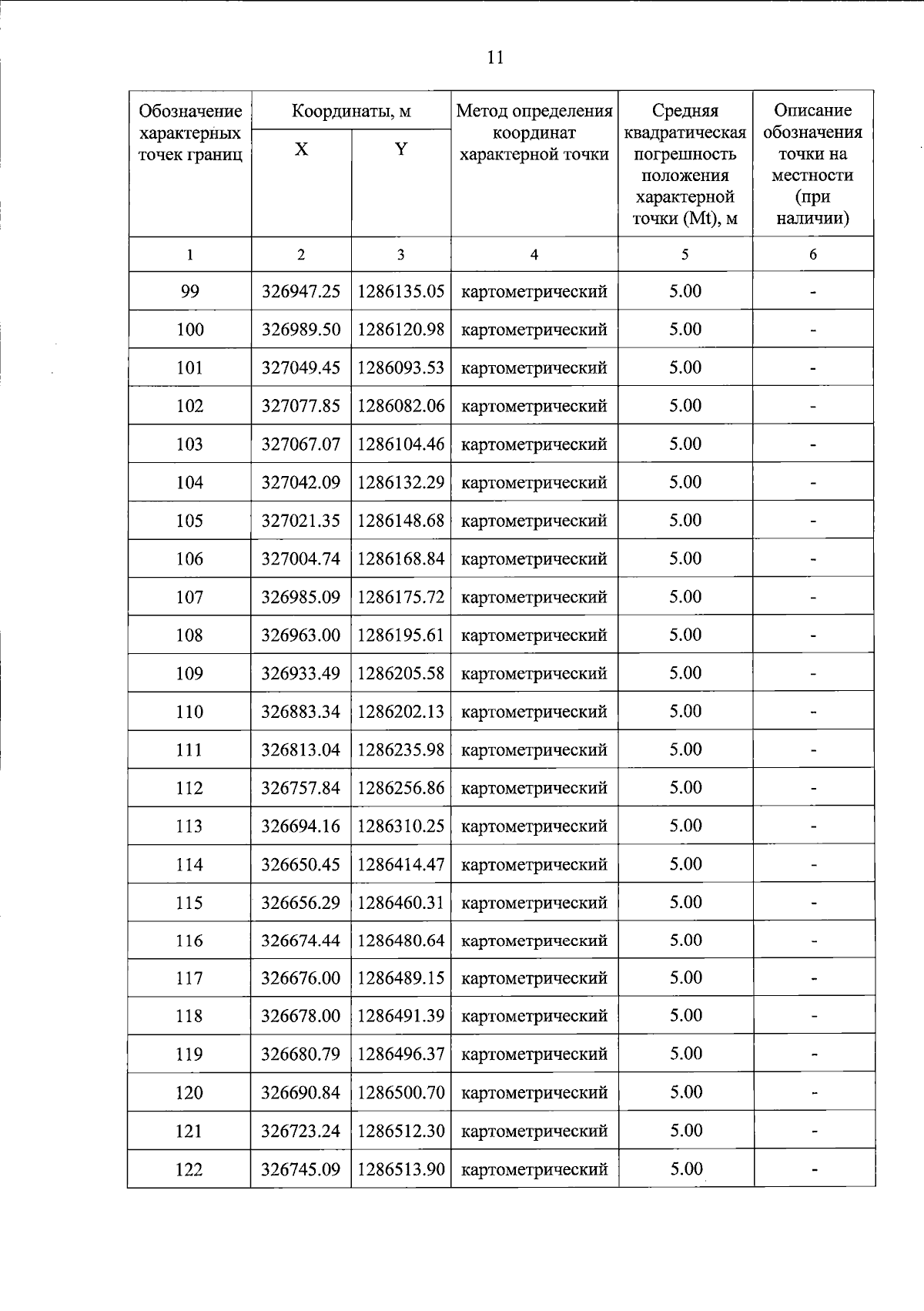
Постановление Правительства Тверской области от 02.04.2026 № 200-пп
"Об утверждении Паспорта особо охраняемой природной территории регионального значения – памятника природы "Остров Кличен"
"Об утверждении Паспорта особо охраняемой природной территории регионального значения – памятника природы "Остров Кличен"
Номер опубликования: 6900202604030030
Дата опубликования:
03.04.2026
