Официальное опубликование правовых актов
ОФИЦИАЛЬНОЕ ОПУБЛИКОВАНИЕ
Приказ Департамента градостроительного развития Томской области от 25.12.2025 № 162
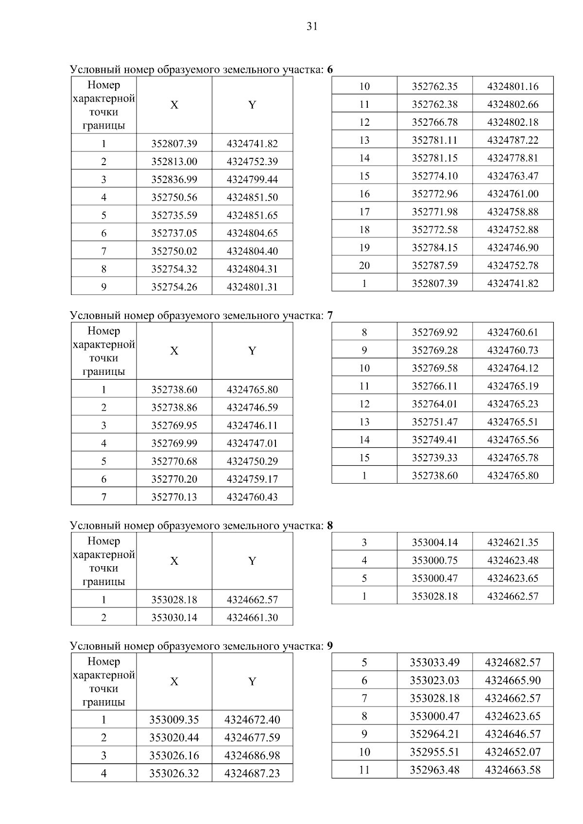
"Об утверждении проекта планировки и проекта межевания территории, ограниченной ул. Водяной, ул. Пролетарской, пр. Ленина, пер. Тихим в городе Томске"
(Зарегистрирован 25.12.2025 № 2032-91/2025)
Номер опубликования: 7001202512260048
Дата опубликования: 26.12.2025
Страница №31 из 37: