Официальное опубликование правовых актов
ОФИЦИАЛЬНОЕ ОПУБЛИКОВАНИЕ
Постановление Правительства Тульской области от 18.12.2025 № 828
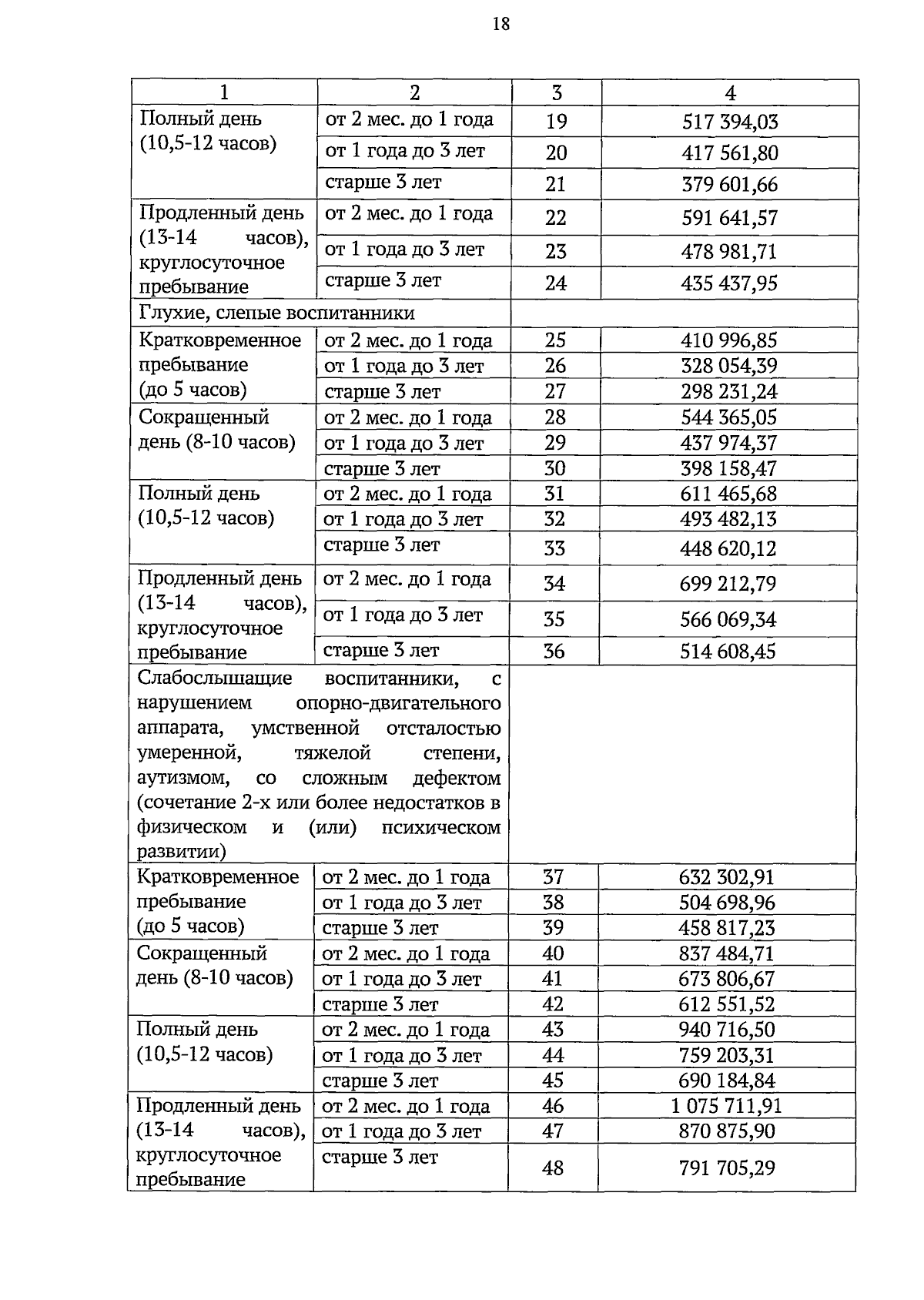
"О нормативах обеспечения государственных гарантий реализации прав на получение общедоступного и бесплатного образования в муниципальных дошкольных и общеобразовательных организациях"
Номер опубликования: 7100202512190005
Дата опубликования: 19.12.2025
Страница №21 из 80:
Увеличить