Официальное опубликование правовых актов
ОФИЦИАЛЬНОЕ ОПУБЛИКОВАНИЕ
Постановление Правительства Челябинской области от 30.10.2025 № 721-П
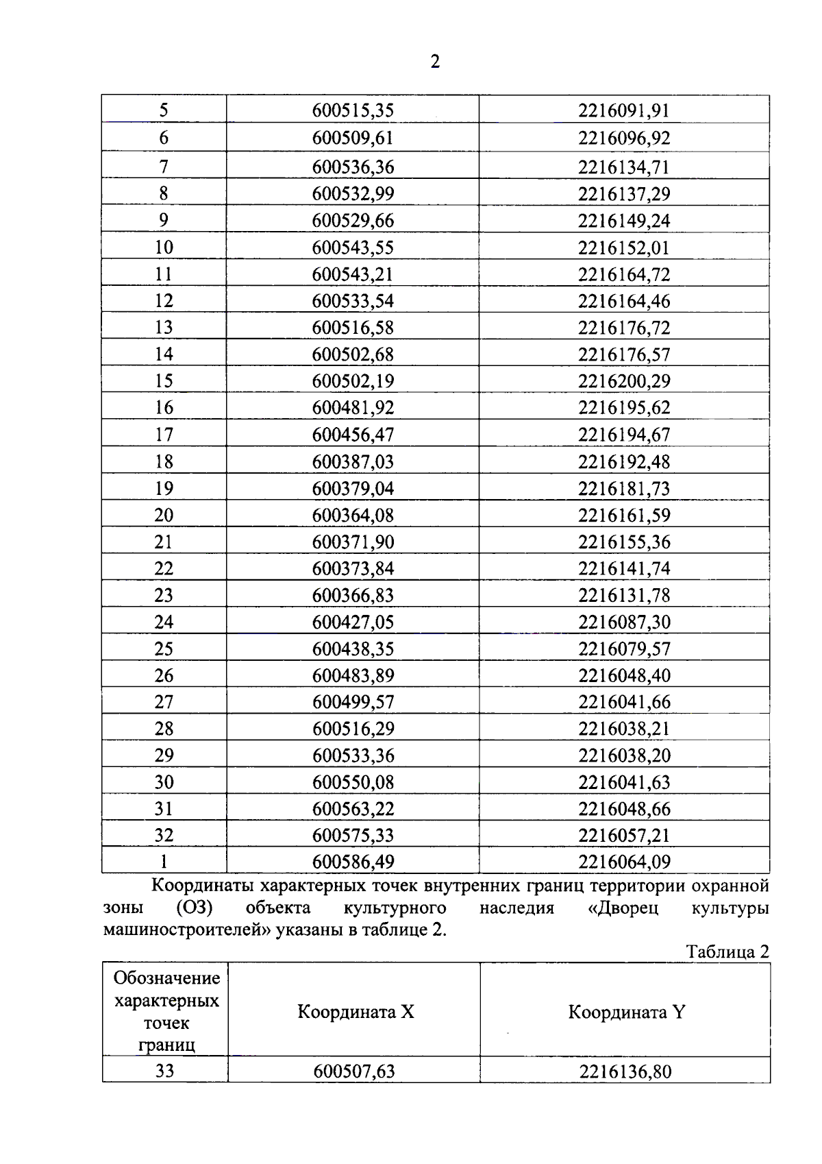
"О принятии решения об установлении зон охраны и утверждении требований к градостроительным регламентам в границах территорий зон охраны объекта культурного наследия регионального значения "Дворец культуры машиностроителей", 1947 г., расположенного по адресу: Челябинская область, город Златоуст, проспект Мира, дом 2а"
Номер опубликования: 7400202511010009
Дата опубликования: 01.11.2025
Страница №4 из 16:
Увеличить