Официальное опубликование правовых актов
ОФИЦИАЛЬНОЕ ОПУБЛИКОВАНИЕ
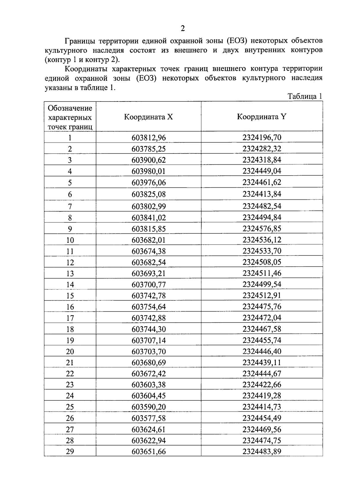
Постановление Правительства Челябинской области от 30.03.2026 № 242-П
"О принятии решения об установлении объединенной зоны охраны и утверждении требований к градостроительным регламентам в границах территорий объединенной зоны охраны объекта культурного наследия регионального значения "Здание вокзала железнодорожного", 1965 г., расположенного по адресу: Челябинская область, город Челябинск, улица Привокзальная, дом 1; объекта культурного наследия регионального значения "Сказ об Урале", 06.11.1967 г., расположенного по адресу: Челябинская область, город Челябинск, Привокзальная площадь; объекта культурного наследия местного (муниципального) значения "Старый вокзал железнодорожной станции Челябинск", 1897, 1935 гг., расположенного по адресу: Челябинская область, город Челябинск, улица Привокзальная, дом 1а"
Номер опубликования: 7400202603310013
Дата опубликования: 31.03.2026
Страница №5 из 21:
Увеличить